网站首页  词典首页


请输入您要查询的字词:

 

字词 稀释水量的计算
类别 中英文字词句释义及详细解析
释义 稀释水量的计算

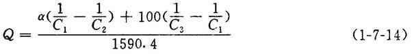
【公式】

式中 Q——稀释水量[m3/(t绝干浆.d)]

C1——尾浆浓度(%)

C2——进浆浓度(%)

C3——良浆浓度(%)

α——良浆量占进浆量的百分数(%)

S1——尾浆中粗渣的百分数(%)

S2——进浆中粗清的百分数(%)

S3——良浆中粗渣的百分数(%)

随便看

 

离鸟网收录3541549条中英文词条,其功能与新华字典、现代汉语词典、牛津高阶英汉词典等各类中英文词典类似,基本涵盖了全部常用中英文字词句的读音、释义及用法,是语言学习和写作的有利工具。

 

Copyright © 2004-2024 vtrois.com All Rights Reserved
更新时间:2026/4/8 6:46:21