稳定性分析
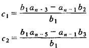
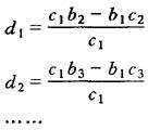
(1)定义 处于平衡工作状态的系统,受到扰动作用后,其输出量偏离原来的平衡工作状态,当扰动取消后,如果系统能以足够的准确度逐渐恢复到原来的平衡状态,则称系统是稳定的,或说具有稳定性的。否则,称系统是不稳定的,或说不具有稳定性的。 稳定性是系统去掉扰动以后,自身的一种恢复能力,所以是系统的一种固有特性,它只取决于系统本身的结构和参数,而与初始条件和外作用无关。 (2)系统稳定的充分必要条件 系统稳定的充分必要条件是,系统特征方程的根(即闭环传递函数的极点)全部位于s平面的左半平面。 (3)劳斯稳定性判据 应用劳斯判据判别稳定性分两步进行:第一步,首先根据系统的特征方程编制一个行列表(称劳斯行列表);第二步,根据劳斯表第一列的元素符号来判别系统的稳定性。 劳斯行列表的编制 设系统特征方程为 ansn+an1sn-1+…+a1s+a0=0 (5.4-1) 当an>0时,劳斯表按如下方法编制  直至其余bi值全部等于零为止;  直至其余ci值全部等于零为止;  这一过程一直延续到第n+1行为止。为清楚起见,在行列表左侧第一行标出sn,第二行标出sn-1,…,最后标出s0。表中第一、二行各元素用特征方程的系数直接按表中箭头指向次序排列,第三行以后的元素由前两行各元素按上面给出的方法递推算出。在计算过程中,用正数乘以或除以同一行各元素,不改变稳定性结论。 劳斯稳定性判据的内容 系统稳定的充分必要条件是,劳斯行列表中第一列所有元素均大于零。如果第一列中出现小于零的元素,系统就不稳定。并且该列中元素符号改变的次数就等于系统特征方程位于右半s平面根的个数。 |