网站首页  词典首页


请输入您要查询的字词:

 

字词 稳定的基本概念及稳定条件
类别 中英文字词句释义及详细解析
释义 稳定的基本概念及稳定条件

3.1.1 稳定的基本概念

处于平衡工作状态的系统,受到扰动后,将偏离原来的平衡状态。当扰动消除后,系统能恢复原来的平衡状态或达到新的平衡状态(非线性),则此系统是稳定的。如果系统受到扰动后,不论扰动引起的初始偏差有多大,扰动消除后,系统都能以足够的准确度恢复到初始平衡状态,这种系统就称为大范围稳定的系统。对只有扰动引起的初始偏差小于某一范围时系统才能稳定,否则就不稳定的系统,称为小范围稳定系统。对于稳定的线性系统,必然在大范围内和小范围内都能稳定,只有非线性系统才可能有小范围稳定而大范围不稳定的情况。

3.1.2 线性系统稳定的条件

反馈系统如图1.9-27所示,其闭环传递函数为

设系统闭环传递函数分母等于零,则可得系统特征方程

1+G(s)H(s)=0 (1.9-24)

设系统初始条件为零,给系统输入一理想单位脉冲δ(t),这时系统的输出为脉冲过渡函数k(t)。这相当于系统在扰动信号作用下,输出信号偏离原平衡工作点的情形。如果当t→∞时,脉冲过渡函数k(t)收敛于原来的零平衡点,即

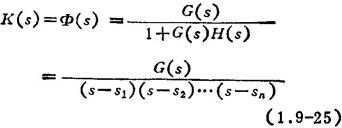
则系统是稳定的。系统在理想脉冲δ(t)作用下的响应像函数为K(s)=C(s)=Φ(s)R(s),由于R(s)=L〔δ(t)〕=1,则有

式中 si(i=1,2,…n)为系统特征方程的根,也称为系统的闭环极点。设n个特征根彼此不等。将上式写成部分分式之和的形式,即

式中 ct(i=1,2,…n)为待定系数。对上式进行拉氏反变换,得系统脉冲过渡函数

由上式可以看出,只有当系统的特征根si(i=1,2,…n)全部具有负实部时,下式才能成立

故闭环系统稳定的充分必要条件是:闭环系统特征方程的所有根都具有负实部。或者说,闭环传递函数的极点均位于左半〔S〕复平面(不包括虚轴)。

随便看

 

离鸟网收录3541549条中英文词条,其功能与新华字典、现代汉语词典、牛津高阶英汉词典等各类中英文词典类似,基本涵盖了全部常用中英文字词句的读音、释义及用法,是语言学习和写作的有利工具。

 

Copyright © 2004-2024 vtrois.com All Rights Reserved
更新时间:2026/4/7 9:00:19