网站首页  词典首页


请输入您要查询的字词:

 

字词 第三节 炮用瞄准镜光学性能要求(GJB 704-89)
类别 中英文字词句释义及详细解析
释义 第三节 炮用瞄准镜光学性能要求(GJB 704-89)

炮用瞄准镜光学性能技术要求如下:

(1)视放大率。产品视放大率应与公称值一致,其上偏差不限,下偏差不超过-5%。

(2)视场。产品物方视场角应与公称值一致,其上偏差不限,下偏差不超过-5%。

(3)视场中心偏。分划板中心与视场光阑中心的偏心距(视场中心偏)不得超过15′,有特殊要求在产品专用技术条件中规定。

(4)出瞳直径。出瞳直径应与公称值一致,其上偏差不限,下偏差不超过-5%。当出瞳不成圆形时,出瞳直径按其内切圆计算。

(5)出瞳距离和眼点距离。出瞳距离和眼点距离应与公称值一致,其上偏差不限,下偏差不超过-10%。

出瞳距离和眼点距离不得小于20mm,特殊要求在产品专用技术条件中规定。

(6)视度。产品的视度一般为固定视度,视度范围为-0.5~-1.0屈光度。

(7)视差。分划板的分划面与像面不重合引起的视差(指全视差),一般产品不大于2′,高精度产品不大于1′。有特殊要求在产品专用技术条件中规定。

(8)分划板倾斜。产品镜内分划倾斜偏差不得超过30′。

(9)物像倾斜和相对倾斜。光学系统有反射平面的产品,其像倾斜不得超过30′;物像对分划板的相对倾斜不得超过20′。有特殊要求在产品专用技术条件中规定。

(10)透光系数。透光系数不得低于50%。

(11)分辨力和像质。

分辨力:

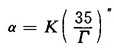
瞄准镜光学系统中央分辨力最大极限值(α)推荐采用下式确定

式中 Γ为产品的视放大率;K为数值系数,K值的选择范围为1.2~1.5。

像质:

产品的像质应符合产品专用技术的规定。当通过前置镜观察时,图案像或星点像应无明显的几何形状的变形、像散、双像、彗尾、色彩等缺陷。根据产品的不同性能,必要时可在产品专用技术要求中规定传递函数的要求。

随便看

 

离鸟网收录3541549条中英文词条,其功能与新华字典、现代汉语词典、牛津高阶英汉词典等各类中英文词典类似,基本涵盖了全部常用中英文字词句的读音、释义及用法,是语言学习和写作的有利工具。

 

Copyright © 2004-2024 vtrois.com All Rights Reserved
更新时间:2026/4/6 16:27:19