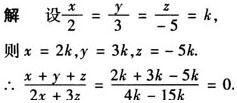
等比性质
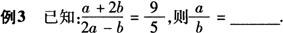
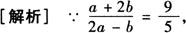
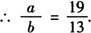
如果a/b=a/d=…=m/n(b+d+…+n≠0),那么 . 注意 1.等比性质通常用设k的方法来求解. 2.等比性质的应用条件是b+d+…+n≠0,(所有分母之和不为零). 例1 如果a/b=c/d,那么下列各式成立的是( ).  答 D. [解析] 题目没有明确b+d≠0,因此,若不认真思考就会错选A.,由已知条件可得 ,∴ .(其中由已知条件知d2+b2≠0)故选D. 例2 已知: ,求 的值.  [解析] ∵2+3-5=0,显然不能用等比性质.这时可设比值为k.    ∴5(a+2b)=9(2a-b). 即13a=19b.    [解析] ∵3a=5b  注意比例性质的综合应用. 例5 已知:如图,在△ABC中,AB=12cm,AE=6cm,EC=4cm,且 , (1)求:AD的长. (2) 成立吗?为什么?   |