网站首页  词典首页


请输入您要查询的字词:

 

字词 等熵位涡图的性质
类别 中英文字词句释义及详细解析
释义 等熵位涡图的性质

随著大气大尺度动力学理论的发展,业务数值预报分析资料质量的提高以及计算条件的改善,用粗网格(2.5~5°)业务分析资料制作等熵位涡图即IPV图,运用其守恒性和可逆性去诊断分析大气大尺度动力过程的性质和随时间演变的特征,已经变得可行。

用IPV和地面位温的时间序列图,能简明地总结涡度平流、热力平流和垂直运动的综合效应,从而给出清楚完整的动力学图象,阐明用这些量描述的所有的平衡动力学现象。因此,IPV图被认为是形象地表示大尺度动力过程的最简单和最有效的方法。

现在应用的位涡,常采用Ertel形式,即

其中,ξα是三维绝对涡度,ρ为密度,θ为位温。

如取静力近似,并作气压坐标(ρ)和等熵坐标(θ)的转换,可得:

这里f为地转参数,ξθ为等熵面的相对涡度。

(2)式是常用的IPV的基本表达式。

IPV有两个基本性质:
❶ 在绝热无摩擦运动中,气块的IPV具有Lagrangian守恒性。

当平流过程相对于摩擦和非绝热过程起支配作用时,气块的位涡和位温近似不变。这个性质常用来分析气流的轨迹,追溯气流的源地,判断气团的性质。

❷ 在一定条件下,IPV与运动场和质量场的相互关系具有可逆性。这与在正压模式情况下由涡度分布(通过ξ=▽2Ψ)推算风场的情况有些相似。

关于IPV可逆性原理建立和应用,是位涡概念与现代大尺度动力理论结合的重要表现,是用1PV分布讨论大尺度动力过程的性质和时间演变特征的基础。

在等熵面IPV图上,可以看到与大尺度天气系统对应的高、低IPV区,对于某种均一的参考态而言,可看作是具有正或负号的IPV距平。

对应某种符号的孤立的1PV距平的典型气流结构,则是构成所谓“IPV思想”的基本概念。

设参考态(用下标ref表示)水平均一,f为常数,随位温θ的质量分布用静压力P表示

P=Pref(θ) (3)

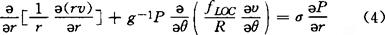
使在每个等熵面(或Pref(θ))参考态的位涡值为常数,在梯度风和静力平衡条件下,可得出下面的关于圆对称形位涡距平引起的无辐散水平气流的切向速度v(r,θ)的方程。

式中r为离距平中心的水平距离,fLOC=f-2v/r为两倍的局地绝对角速度,

(4)式是可解的非线性方程,其右端位涡P的等熵梯度可看作是强迫函数。

结合适当边界条件,它表示P与v的可逆关系,如设fLocp>0,则变为椭圆型方程,问题适定精确可解。

进一步设fLOC≈f+ξθ≈f.R≈Rr,ef(θ).σ=σr.e.f(θ),则(4)式化为准地转近似的等熵坐标形式

如Rref和σref取常数,则方程右端为三拉普拉斯算子,根据Prandtl-Rossb Burger关系,把垂直坐标尺度化,可得到如下尺度关系:

如用代替f,可得更精确的尺度关系

(7)式适合于赤道附近地区。(6)和(7)式中L表示P距平的水平尺度,△θ表示引起的气流结构的垂直尺度。

(6)式中△θ即是θ坐标下的Rossby高度,其对应水平尺度就是Rossby变形半径。

Thorpe用较复杂的方法求解(4)式,得出由正负高空IPV距平或面θ距平引起的平衡结构的精确解。IPV距平引起的气流结构的定性特征有:(1)相对于地球而言,平衡的涡旋中的环流与引起它的IPV距平有同样的意义。即正的IPV距平对应气旋性环流,负的IPV距平对应反气旋性环流。(2)IPV距平引起的气流场的垂直尺度(△θ或H),在量级上与(6)和(7)式表示出的尺度关系一致,即与IPV距平的水平尺度L成正比,与稳定度因子N成反比。(3)IPV距平中的两个分量,即稳定度绝对涡度,与其参考态比较而言,在高IPV距平区都很高,在低IPV距平区都很低。

它们所占的相对比例决定于IPV距平的形状,相对于(1)或(7)式的尺度关系而言,宽浅距平以静力稳定度为主,窄深距平以绝对涡度为主。(4)静力稳定度距平在IPV距平中心的上下区域有相反的作用,故等熵面向不同的方向弯曲。

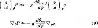
Charney和Stern(1962)第1次用清楚的方式表示出充分一般化的可逆性原理,直接应用于随时间变化且f可变的非圆周运动。准地转理论导出了在气压坐标下的准地转位涡q:

θ′是对θref(p)的偏差。

在绝热和无摩擦条件下,q随同不考虑垂直运动的水平地转气流近似守恒。q在等压面上的变化近似地与P在等熵面上的变化成比例:

把q表示成地转流函数 (10)

其中φref(p)为参考位势,通过线性化的静力关系,得出 (11)

其中R=R(p)=dπ(p)/dp。

把(13)和地转近似代入(10),并引进参考态qref=f,可得

其中是二维水平拉普拉斯算子,

是表示静力稳定度的另一种形式。

由(12)式可见,如已知q,则等式右端的q距平可知,而左端是一个类似三维拉普拉斯算子,求逆可得Ψ′。

如位温在下边界(p0=1000hPa)是均一的,θ′=0,由(13)式可知逆变换的边界条件可取为

当p=0.p0 (13)

如果位温在下边界不是均一的,可通过在(12)式右端增加一个强迫项的办法,保留均一的边界条件(13)。

(12)和(13)式表示在地转平衡下的可逆性,这是相对于准地转理论中假设的参考态,在这种情形下,静力稳定度是水平均一的,f可度,但在运动的水平尺度上其变化与f0相比是小的。因为这里没有(4)式和(5)式那样的轴对称、稳定运动之类的限制,故可应用于一般的随时间变化的气流。

由q通过(12)和(13)式确定了Ψ,则位势、位温和水平运动场可由(10)、(11)式和地转关系确定,垂直运动可由绝热的热力学方程或准地转ω方程算出。

半地转理论是在保持等压(或等高)坐标下,对准地转理论的改进。方法是:采用地转动量近似(Eliassen,1948),改进对位涡、位温和动量进行平流的风速的平衡条件;通过准Lagrangian坐标变换减小水平不均一性(Hoskins,1975)。这样就使得半地转理论对于可逆性原理的表达在用于水平不均一性很大的问题(如锋生、大振幅的对流层顶变形等过程),比准地转理论有高得多的精度。

Salmon(1985)把半地转理论推广到f可变的情况,并采用等熵坐标形式,其结果可用于定量地讨论位涡距平(或地面θ距平)引起的场,同时证明了第2节指出的4个定性特征。

摩擦和非绝热过程对引起的切断气旋和阻塞高压的大振幅IPV距平的维持和耗散至关重要。

在等熵坐标下,位涡的变化率方程为

(14)

对于小Rossby数,大Richardson数气流,近似为

(15)

其中为非绝热位温源,Kθ为等熵面摩擦力的涡度的垂直分量。

对于考虑非绝热单独出现时的IPV特征,(15)式的方便形式为

(16)

(17)

上两式左端是IPV沿等熵轨迹的变化率,右端是易于计算和讨论的简单形式。

摩擦力的涡度项在边界层内是重要的,在自由大气中,Shapiro(1976)提出,由于晴空和其他小尺度扰动使位温混合,对于平流层低层强急流的气旋性一侧观测到的异常大的位涡值的产生可能起重要的作用。

(气象科学研究院赵其庚撰)

随便看

 

离鸟网收录3541549条中英文词条,其功能与新华字典、现代汉语词典、牛津高阶英汉词典等各类中英文词典类似,基本涵盖了全部常用中英文字词句的读音、释义及用法,是语言学习和写作的有利工具。

 

Copyright © 2004-2024 vtrois.com All Rights Reserved
更新时间:2026/4/8 21:32:34