网站首页  词典首页


请输入您要查询的字词:

 

字词 等级相关
类别 中英文字词句释义及详细解析
释义 等级相关

指两个变量等级间的相关。

表示变量等级间直线相关程度和方向的系数,就叫等级相关系数。它不仅适用于数量资料的相关分析,也适用质量资料的相关分析。等级相关分析最早应用在教育学和心理学方面,现在已广泛应用于经济研究,特别是关于投资风险的分析和对商品爱好的分析。

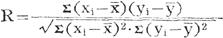
等级相关系数同简单直线相关系数的计算方法完全相同,只是资料不是变量数列,而为等级资料。其计算公式:

式中:R代表x、y间的等级相关系数;为x的平均数;为y的平均数。

英国统计学家斯皮尔曼从上式推导出简捷法,称为斯皮尔曼等级相关系数。其公式为:

式中:d1=x1-y1或y1-x1;N为x和y的项数。

在计算等级相关系数时,有时会出现等级并列,如有两个二等或三个四等。

解决并列有两种方法:一种称为并列等级法。即假定有两个并列为二等,可都定为2,下一个等级应定为4。另一种称为中间等级法。即对两个并列第二等,可定为2与3的平均数,都定为2.5。

严格地说,在发生等级并列情况时,上面公式不适用,但由于误差不大,上面公式仍可应用。

等级相关系数的性质是:(1)等级相关系数的范围:在-1≤R≤+1之间。(2)R=正值时,两变量间为正等级相关;R=负值时,两变量间为负等级相关。(3)等级相关系数的绝对值愈大,表示两变量间的等级相关程度也愈大;R=+1时,为完全正等级相关;R=-1时,为完全负等级相关;R=0时,两变数间完全无关。

随便看

 

离鸟网收录3541549条中英文词条,其功能与新华字典、现代汉语词典、牛津高阶英汉词典等各类中英文词典类似,基本涵盖了全部常用中英文字词句的读音、释义及用法,是语言学习和写作的有利工具。

 

Copyright © 2004-2024 vtrois.com All Rights Reserved
更新时间:2026/5/26 23:15:58