简单几何平均指数法
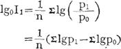
用各种事物在时间上比率的几何平均数表明事物总的相对变动的一种方法。 以物价指数为例,先计算各种商品价格在时间上的价比,再计算这些价比的几何平均数,以表明价格总的相对变动。其计算公式为:  上式两边取对数,则:  式中:。I1代表简单几何平均指数,Π为连乘符号,p。代表基期各种商品的价格,p1代表计算期各种商品的价格,n代表商品数。 简单几何平均指数最早是1863年英国经济学家哲逢斯(W.S.Jevons)提倡采用的。现代经济指数一般都采用加权的指数,但在权数资料受到限制时,有的仍采用简单几何平均指数。如美国劳工部劳工统计局1950年开始编制的现货初级市场价格指数,就是采用这种方法。 |