网站首页  词典首页


请输入您要查询的字词:

 

字词 简单非直线相关
类别 中英文字词句释义及详细解析
释义 简单非直线相关

亦称“简单曲线相关”。

指不以直线为准反映两变量间依存程度的相关关系。它与直线相关有所不同。

直线有固定方向,故直线相关既反映两变量间的相关程度,又反映两者间的相关方向。

简单非直线相关却只能反映两变量间的相关程度,而不能反映两变量间的相关方向。反映两变量间相关程度乃用简单非直线相关系数,通常有相关指数和相关比两种。

(一)相关指数 指两变量间以某一回归曲线为准,某一变量对另一变量相关程度的系数。

如为y对x的回归曲线,则可计算出y对x的相关指数。其公式:

式中:pyx为y对x的相关指数,Syx为y对x的估计标准误差,Sy为y的标准差。

如为x对y的回归曲线,则可计算出x对y的相关指数,其公式为:

相关指数的性质可以y对x的相关指数为例说明如下:

(1)相关指数随回归曲线形状不同而异。

(2)相关指数所在范围在0≤pyx≤1之间。

(3)相关指数的数值愈大,表示两变量间的曲线相关程度愈密。pyx=1为两变量间有完全的曲线相关;pyx=0为两变量间完全无关。

(4)相关指数一定大于、至少等于由同一资料计算的相关系数的绝对值pyx≥|r|。

pxy性质和pyx完全相同。

在一般情况下,pyx和pxy不相等,只有在完全相关或完全无关时,两者才相等。

(二)相关比 指两变量间某一变量对另一变量以非直线为准的相关程度的系数。

它的计算方法可以y对x的相关比为例。假设x、y两相关变量有N对资料,并编好了相关表,则每一纵行对应于每一固定x变量的平均(x)数值下,y的平均数为:

y1 i=1,2,3,……k

各纵行的次数,即对应于每一固定x数值下的总次数为:

f1 i=1,2,3,……k

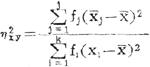
则得y对x相关比的计算公式为:

式中:η为y对x的相关比;为y的平均数;f为对应于y各组的次数。

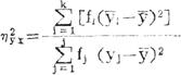
同样可得x对y相关比计算公式:

相关比的性质可以y对x的相关比为例:

(1)相关比的所在范围为0≤ηyx≤1。

(2)相关比的数值愈大,表示两变量间的非直线相关也就愈密切。

ηyx=1时,两变量间有完全的非直线相关;ηyx=0时,两变量间完全无关。

(3)相关比应大于、至少等于由同一资料所计算的相关系数的绝对值,即ηyx≥|r|。

ηxy的性质与ηyx完全相同。一般情况下,ηyx与ηxy不相等,只在完全相关和完全无关时,两者才相等。

随便看

 

离鸟网收录3541549条中英文词条,其功能与新华字典、现代汉语词典、牛津高阶英汉词典等各类中英文词典类似,基本涵盖了全部常用中英文字词句的读音、释义及用法,是语言学习和写作的有利工具。

 

Copyright © 2004-2024 vtrois.com All Rights Reserved
更新时间:2026/5/25 16:36:05