网站首页  词典首页


请输入您要查询的字词:

 

字词 简单非直线相关
类别 中英文字词句释义及详细解析
释义 简单非直线相关

也称“简单曲线相关”。

指不以直线为准反映两变量间依存程度的相关关系。它与直线相关有所不同。只能反映两变量间的相关程度,而不能反映两变量间的相关方向;而直线相关既反映两变量间的相关程度,又反映两变量间的相关方向。反映两变量间相关程度用简单非直线相关系数,通常有相关指数和相关比两种。

❶ 相关指数。是指两变量间以某一回归曲线为准,某一变量对另一变量相关程度的系数。如为y对x的回归曲线,则可计算出y对x的相关系数。其公式如下:

式中:Pyx为Y对X的相关指数,Syx为Y对X的估计标准误差,Sy为Y的标准差。

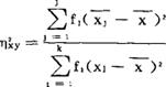
如为x对y的回归曲线,则可计算出x对y的相关指数,其公式如下:

❷ 相关比。是指两变量间某一变量对另一变量以非直线为准的相关程度的系数。它的计算方法可以y对x的相关比为例。假设x、y两相关变量有N对资料,并编好了相关表,则每一纵行对应于每一固定x变量的平均(x)数值下,y的平均数为:

Y1i=1,2,3,……k

各纵行的次数,即对应于每一固定x数值下的总次数为:

f1 i=1,2,3,……k

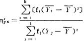
则得y对x相关比的计算公式如下:

式中:η为y对x的相关比;#为Y的平均数;fj为对应于Y各组的次数。

同样可得x对y相关比计算公式:

随便看

 

离鸟网收录3541549条中英文词条,其功能与新华字典、现代汉语词典、牛津高阶英汉词典等各类中英文词典类似,基本涵盖了全部常用中英文字词句的读音、释义及用法,是语言学习和写作的有利工具。

 

Copyright © 2004-2024 vtrois.com All Rights Reserved
更新时间:2026/5/25 13:41:40