网站首页  词典首页


请输入您要查询的字词:

 

字词 管道中的压力瞬变
类别 中英文字词句释义及详细解析
释义 管道中的压力瞬变

当管道中的阀门骤然关闭或开启时,管中液体的压力发生急剧交替升降的阻尼波动过程称为液压冲击(或水锤)现象。液压冲击是管道中的非定常流问题,是一种瞬变的动态过程。

当阀门骤然关闭时,管中原来动能将转变为压势能,在阀门前将出现压力升高,其值有可能危及液压系统的元件,并伴有振动与噪声。反之当阀门骤然开启时,则会出现压力降低,当其绝对压力降低于液体的饱和蒸汽压力时,则会发生气穴现象。这都将会影响液压系统的正常工作。这两种骤然开或关所发生的液压冲击,都称为直接液压冲击,其压力升降见图1.2-5。

当阀门开关时不是瞬时骤然动作,其开关时间t大于tc=2L/c的情况所发生的液压冲击,称为间接液压冲击,其危害性较直接液压冲击要小。

(1)直接液压冲击的最大压力计算

当阀门骤然关或开时,即阀门动作时间t<tc=2L/c,则管道内产生的最大压力升高为prmax或最大压力降低为pdmax

A.等径直管端阀门骤然关闭

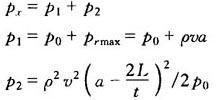
当管道中液体以平均流速v流动著,管端阀门骤然关闭,运动著的液体冲击关闭了的阀门,将动能转变为压势能,而使被压缩的液体段的压力增为最大压力升高prmax

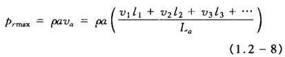
B.串联管端阀门骤关

在图1.2-7所示的串联管道中,当末端阀门骤然关闭时所发生的最大压力升高为

式中

l1,l2,l3——各串联管道的长度;

v1,v2,v3——各串联管道的相应的平均流速;

La——各串联管道的总长

La=l1+l2+l3+…

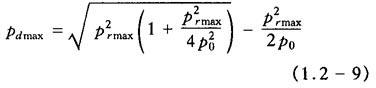
C.等径直管端阀门骤开

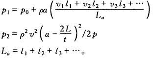
在等径直管末端阀门骤开时,出现的最大压力降低为

式中 p0——管中原来的工作压力;

prmax——按式(1.2-7)计算。

D.串联管端阀门骤开

其最大压力降低仍用式(1.2-9),其中最大压力升高prmax应按式(1.2-8)的串联管的情况来计算,p0则应按串联管内的原来工作压力计算。

(2)间接液压冲击时压力计算

实际上阀门的开或关,总是有一定的时间t,当t>tc时,其产生的压力降低或升高都不会达到骤时开关的最大值。这种有一定动作时间的开或关就简称为“慢”开或“慢”关。

A.等径直管端阀门“慢”关(t>tc)此时管中的压力升高为

式中

L——直管长度;

t——阀门关闭时间。

B.串联管端阀门“慢”关(t>tc)

式中

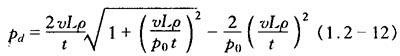
C.等径直管端阀门“慢”开(t>tc)管中压力降低为

式中 L——直管长度;

t——阀门开启时间。

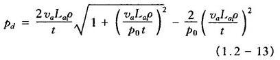
D.串联管端阀门“慢”开(t>tc)

串联管中压力降低为

式中

t——阀门关闭时间。

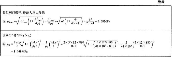
(3)等径直管内的液压冲击计算实例见表1.2-6。

表1.2-6 液压冲击计算实例

(4)液压冲击的防止措施

当液压系统发生液压冲击时,会产生噪声、振动,甚至损坏系统元件及管道,为了保持系统的正常工作,应尽量削减其影响。常用的措施为:

·尽可能地使阀门动作平缓,如换向阀中采用带锥台肩的阀芯,或采用可调先导式液控换向阀控制主阀芯的切换速度,以缓和液压冲击。

·在紧靠液压冲击源附近设置卸荷阀。

·在易产生液压冲击源(如阀门)前设置吸冲击压力的蓄能器。

·按各类管件选用合理的流速。

随便看

 

离鸟网收录3541549条中英文词条,其功能与新华字典、现代汉语词典、牛津高阶英汉词典等各类中英文词典类似,基本涵盖了全部常用中英文字词句的读音、释义及用法,是语言学习和写作的有利工具。

 

Copyright © 2004-2024 vtrois.com All Rights Reserved
更新时间:2026/5/31 15:33:46