管道的热损失计算实例
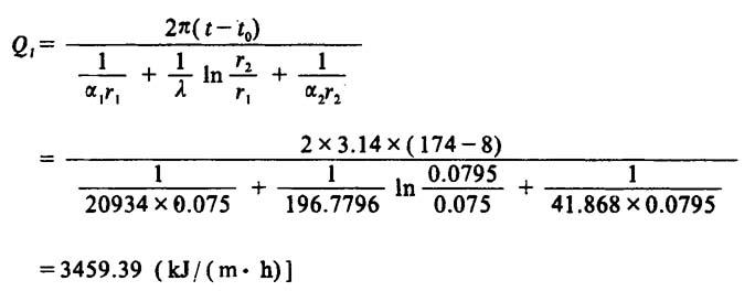
[例]某厂从锅炉送入车问的蒸汽管为φ159×4.5mm,长度138m,输汽压力为784.5kPa(表压),温度t=174℃,室外空气温度取年平均温度t0=8℃,α1=20934kJ/(m2·h·℃),α2=41.868kJ/(m2·h·℃),钢管的导热系数λ=196.7796kJ/(m·h·℃),汽管内径r1=75mm,外径r2=79.5mm,岩棉厚度δ=50mm。求: ❶ 无保温裸管热损失; ❷ 岩棉保温后热损失; ❸ 热损降低率; ❹ 节约标煤量。 解: ❶ 无保温裸管热损失Q1 根据式 4-2-259得:  年损失热折标煤量:  ❷ 采用岩棉保温后热损失Q2 已知保温层厚度为50mm,外表温度t1=15℃,故:  岩棉的导热系数λ1为:  年损失折标煤量G2:  ❸ 热损降低率η  ❹ 年节约标煤量G  |