管道膨胀产生的轴向推力计算
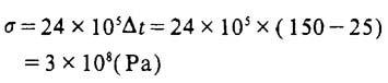
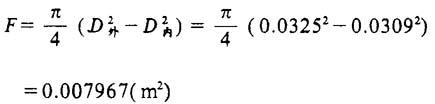
[说明]管道受热膨胀时,能产生极大的轴向推力,因此,必须据此对管道进行热膨胀补偿,否则,将对管架和构筑物造成破坏,危及管道系统的安全运行。  式中 P——管道产生的轴向推力(N) F——管道的截面积(m2) σ——管材的热胀应力(Pa) D外——管道外径(m) D内——管道内径(m) E——管材的弹性模数,E随材质品种和工作温度的不同而变化。钢材的弹性模数取为2×1011Pa;硬聚氯乙烯为0.032×1011Pa α——管材的线膨胀系数[m/(m·℃)],见表2-5-28 表2-5-28 不同管材的线膨胀系数α  △t——同上 [讨论]对于钢材管,E=2×1011Pa,α=0.012mm/(m·℃)=12m/(m·℃),则其热膨胀应力为:  [例]有一Φ325×8mm的无缝钢管,投入运行后的温度为150℃,而安装时的温度为25℃,如果将管道两端固定,因膨胀而产生的轴向推力是多少? 解:热胀应力为:  管材的截面积:  故管道产生的轴向推力:  |