网站首页  词典首页


请输入您要查询的字词:

 

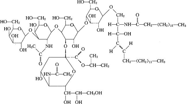
字词 米普拉苷
类别 中英文字词句释义及详细解析
释义 米普拉苷

C76H137N3O31=1588.93

CAS-131129-98-1

N-(II3-N-乙酰神经氨糖基神经节四糖基)神经酰胺异丙基酯。

N-(II3-N-Acetylneuraminosylgangliotetraosyl)ceramide isopropyl ester.

神经节苷酯类药。

Mipragoside.

INN,USAN.

随便看

 

离鸟网收录3541549条中英文词条,其功能与新华字典、现代汉语词典、牛津高阶英汉词典等各类中英文词典类似,基本涵盖了全部常用中英文字词句的读音、释义及用法,是语言学习和写作的有利工具。

 

Copyright © 2004-2024 vtrois.com All Rights Reserved
更新时间:2026/5/29 23:43:04