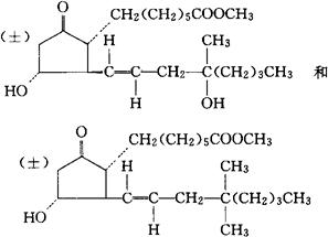
米索前列醇
C22H38O5=382.54 CAS-59122-46-2 (11α,13E)-(±)-11,16-二羟-16-甲基-9-氧代-前列腺-13-烯-1-酸甲酯。 (11a,13E)-(±)-11,16-Dihydroxy-16-methyl-9-oxoprost-13-en-1-oic acid,methyl ester.ro (±)-甲基(1R,2R,3R)-3-羟-2-[(E)-(4RS)-4-羟-4-甲基-1-辛烯基]-5-氧环戊烷庚酸酯。 (±)-Methyl(1R,2R,3R)-3-hydroxy-2-[(E)-(4RS)-4-hydroxy-4-methyl-1-octenyl]-5-oxocyclopentaneheptanoate. 前列素类药。用于胃溃疡。 Misoprostol,SC-29333,Cytotec. INN,BAN,DCF,USAN.  |