网站首页  词典首页


请输入您要查询的字词:

 

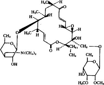
字词 米罗米星
类别 中英文字词句释义及详细解析
释义 米罗米星

C37H61NO13=727.89

CAS-73684-69-2

14-羟-霉菌素霉素Ⅰ。

14-Hydroxy-mycinamicin

抗生素类药。

Mirosamicin.

INN,USAN.

随便看

 

离鸟网收录3541549条中英文词条,其功能与新华字典、现代汉语词典、牛津高阶英汉词典等各类中英文词典类似,基本涵盖了全部常用中英文字词句的读音、释义及用法,是语言学习和写作的有利工具。

 

Copyright © 2004-2024 vtrois.com All Rights Reserved
更新时间:2026/4/7 4:41:31