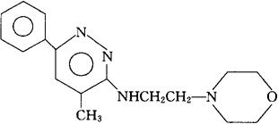
米那普令
C17H22N4O=298.39 CAS-25905-77-5 N-(4-甲基-6-苯基-3-哒嗪基)-4-吗啉乙胺。 N-(4-Methyl-6-phenyl-3-pyridazinyl)-4-morpholineethanamine. 4-[2-[(4-甲基-6-苯基-3-哒嗪基)氨基]乙基]吗啉。 4-[2-[(4-Methyl-6-phenyl-3-pyridazinyl)amino]ethyl]morpholine. 抗抑郁药。 米那吗啉。 Minaprine,Cantor. INN,BAN,DCF,DCIT,USAN,MI.  |