网站首页  词典首页


请输入您要查询的字词:

 

字词 米那索龙
类别 中英文字词句释义及详细解析
释义 米那索龙

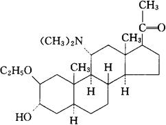
C25H43NO3=405.62

CAS-62571-87-3

(2β,3α,5α,11α)-11-(二甲氨基)-2-乙氧-3-羟-孕烷-20-酮。

(2β,3α,5α,11α)-11-(Dimethylamino)-2-ethoxy-3-hydroxypregnan-20-one.

11α-(二甲氨基)-2β-乙氧-3α-羟-5α-孕烷-20-酮。

11α-(Dimethylamino)-2β-ethoxy-3α-hydroxy-5α-pregnan-20-one.

麻醉药。

Minaxolone,C.C.I 12923.

INN,BAN,USAN.

随便看

 

离鸟网收录3541549条中英文词条,其功能与新华字典、现代汉语词典、牛津高阶英汉词典等各类中英文词典类似,基本涵盖了全部常用中英文字词句的读音、释义及用法,是语言学习和写作的有利工具。

 

Copyright © 2004-2024 vtrois.com All Rights Reserved
更新时间:2026/5/26 17:48:49