类型与功用
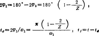
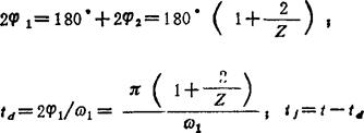
槽轮机构有外啮合、内啮合和球面三种常见型式,如图5、9-1。前两种型式为平面槽轮机构。各种槽轮机构都有基本活动构件主动曲柄1(亦称拨盘,其上有圆销A和凸锁止弧S1)和从动槽轮2(其上有若干槽和凹锁止弧S2)。主动曲柄通常作等速转动。当圆销A进入槽内运动时,拨动槽轮作变速转动;圆销A脱开槽运动时,槽轮停转,并由锁止弧S1、S2定位。可见,当主动曲柄1作等速连续转动时,从动槽轮则作时动时停的周期性单向间歇运动。 图5.9-2所示外啮合槽轮机构的主动曲柄有一圆销A,从动槽轮均布有四个槽。其中图a)是槽轮开始运动的瞬时位置, ,圆销A开始进入槽❶ ,这时S1的尖点B处在O1O2线上,S1和S2虽仍贴合,但已不起锁止作用,只要运动,两者便分开。图b)是槽轮运动中的某一位置,圆销A在槽❶ 中和槽啮合,S1和S2明显分开。图c)是槽轮开始停歇的瞬时位置,这时O1A⊥O2A,圆销A将开始由槽❶ 脱开,S1的尖点C也刚好运动到O1O2线上,S1和S2由分开进入贴合,能起锁止作用,槽轮定位。图d)是槽轮停歇过程中的某一位置,圆销A在槽以外运动,S1和S2贴合,起锁止槽轮运动的作用。当主动曲柄继续转动,转到圆销A开始进入槽❷ 时,即完成一个运动循环,槽轮实现一次动停动作。 内啮合槽轮机构和球面槽轮机构的间歇运动过程,亦可作与上相同的分析。 由以上的间歇运动过程说明,单销槽轮机构具有如下特点: ❶ 主动曲柄转一转,完成一个运动循环。设主动曲柄以ω1等速转动,运动周期用t表示,则t=2π/ω1。 ❷ 在一个周期中,槽轮的运动角等于槽间夹角,即2φ2=360°/Z(Z为槽数)。 ❸ 在一个周期中,主动曲柄的运动角2φ1、运动时间td、停歇时间tj,三种类型都各不相同。 外啮合槽轮机构:  内啮合槽轮机构:  球面槽轮机构: 2φ1=180°;td=x/ω1;tj=π/ω1 |