精密度
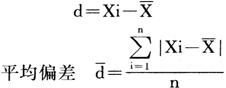
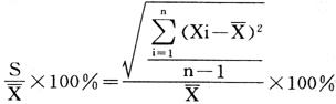
精密度(Precision) 平行测量的各测量值之间互相接近的程度用精密度表示。 精密度的大小用偏差表示。偏差越大,精密度越低。所谓偏差,是指测量值与平均值之差。 表示方法有3种。 ❶ 平均偏差(average deviation) 各单个偏差绝对值的平均值称为平均偏差。 代表一组平行测定的平均值,则单个测量值Xi的偏差d,n表示测量次数  ❷ 相对平均偏差(relative average deviation) 若以平均值的大小为基础表示偏差,则得相对平均偏差。  有时亦用‰值表示。 ❸ 标准偏差(standard deviation) 为了突出较大偏差存在的影响,使用标准偏差  相对标准偏差表示精密度更为合理。相对标准偏差又名变异系数(Coefficient of variation),用CV表示。  |