网站首页  词典首页


请输入您要查询的字词:

 

字词 糖干燥耗用热量及空气加热器传热面积的确定
类别 中英文字词句释义及详细解析
释义 糖干燥耗用热量及空气加热器传热面积的确定

采用加热后的热空气干燥成品糖所需热量(Q)为下列各项之和:

水分蒸发消耗之热 Q1=W(639-t1)

加热砂糖消耗之热 Q2=GC(t2-t1)

热损Q3=ε(Q1+Q2);ε取1.05~1.15

则Q=Q1+Q2+Q3(千卡)。上式中t1及t2为砂糖进入及离开干燥机的温度(℃),C为比热,G为干燥后成品糖量(公斤),W为蒸发水分(公斤)。

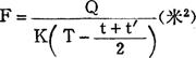
空气加热器的传热面积(F)由下式算出:

式中 K——传热系数(千卡/米2·时·℃),取10

T——加热用蒸汽温度(℃)

t,t′——离开及进入加热器的空气温度(℃)

随便看

 

离鸟网收录3541549条中英文词条,其功能与新华字典、现代汉语词典、牛津高阶英汉词典等各类中英文词典类似,基本涵盖了全部常用中英文字词句的读音、释义及用法,是语言学习和写作的有利工具。

 

Copyright © 2004-2024 vtrois.com All Rights Reserved
更新时间:2026/4/7 1:51:11