网站首页  词典首页


请输入您要查询的字词:

 

字词 糠酸莫米他松
类别 中英文字词句释义及详细解析
释义 糠酸莫米他松

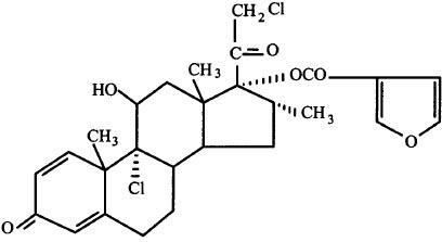
【化学名称】9α,21-二氯-11β,17-二羟基-16α-甲基孕-1,4-二烯-3,20-二酮17-(2-糠酸酯)

【化学结构】

【药理作用】局部抗炎、止痒作用:本品为具有二级强度的局部用皮质激素,局部外用主要用于抗炎及止痒。其优点是作用强度增加而副作用并不成比例地增加,且每日只用1次。本品每日涂敷1次的作用强度比3次/d的氟轻松或2次/d的曲安缩松显著增加,且安全性与氢可的松相当。研究了本品对下丘脑-垂体-肾上腺(HPA)轴的作用,对牛皮癣或变应性湿疹患者6名涂敷15 g,2次/d,连续7 d。涂敷的皮肤面积至少为30 %体表面积,且不加封闭,结果表明肾上腺皮质激素分泌稍有减少,但无一例其血浆皮质醇浓度下降至正常范围下限以下。

【药代动力学】局部用皮质激素可从正常的完整皮肤吸收。健康志愿者在不加封闭敷裹的情况下让完整皮肤与本品软膏接触8h,约有0. 7 %被全身吸收。家兔局部涂敷以3H 标记的本品 0.1%的霜剂或软膏的全身吸收量,分别为局部涂敷剂量的 5 % 和 6%;可认为本品的吸收量不论用霜剂或软膏是相似的。大鼠与狗对本品软膏的透皮吸收量分别为局部涂敷剂量的2.5 % 及 2 % 。人局部涂敷软膏后 8 h仅约 0.7 %被全身吸收;霜剂的吸收预期极少。局部皮质激素一旦通过皮肤被吸收,即以与全身给药的皮质激素相似的药动学途径被处理。各皮质激素与血浆蛋白的结合程度不同。皮质激素主要在肝脏代谢,然后经肾排泄。某些局部用皮质激素及其代谢物也排泄入胆汁。

【适应证】缓解用激素治疗有效的皮肤病的炎症及瘙痒。

【剂量与用法】将本品霜剂或软膏薄层涂于患部皮肤,1次/d,不应使用封闭敷裹。

【不良反应】319例使用霜剂的局部不良作用有灼伤(1例)、瘙痒(1例)及皮肤萎缩(3例)。812例使用膏的局部不良反应有灼伤(13例)、瘙痒(8例)、皮肤萎缩(8 例)、麻刺感 /刺痛(7例)及疖病(3例)。

【注意事项】本品与其他高效局部皮质激素全身吸收后可在某些病人产生可逆性 HPA轴抑制、库欣综合征、高血糖及糖尿。在大面积皮肤上或在封闭敷裹下接受大剂量的病人,需定期检查HPA轴功能。一旦出现 HPA轴受抑的迹象,应停用药物、减少使用次数或改用作用较弱的激素。如出现激素戒断征象及症状,应全身补充皮质激素。

如出现皮肤刺激,应停药并适当治疗。出现皮肤感染时,应使用适当的抗真菌药或抗生素。如疗效并不迅速出现,应停用本品,直到感染被完全控制。

儿童外用尽可能使用最小剂量。儿童体表面积与体重的比值较大,故对局部用皮质激素诱导的HPA轴抑制及库兴氏综合征较为敏感,结果在同样涂敷后每单位体重吸收的激素较多。有报道儿童使用局部用皮质激素后出现HPA 轴抑制、库欣综合征、颅内高血压。颅内高血压的症状有囟门凸出、头痛及双侧视神经乳头水肿。儿童肾上腺抑制的症状有:身高、体重增加迟缓、血浆皮质醇水平较低及对ACTH 刺激无反应。

【制剂规格】霜剂或软膏:浓度 0.1 % 。

【贮存】室温保存。

【生产厂家】美国 Schering公司。

随便看

 

离鸟网收录3541549条中英文词条,其功能与新华字典、现代汉语词典、牛津高阶英汉词典等各类中英文词典类似,基本涵盖了全部常用中英文字词句的读音、释义及用法,是语言学习和写作的有利工具。

 

Copyright © 2004-2024 vtrois.com All Rights Reserved
更新时间:2026/5/27 12:08:21