系列产品中新规格产品定价
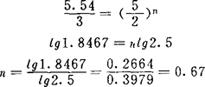
系列产品是指同一个品种有许多不同规格的产品。 其定价,可参照老规格产品制定,其概算公式如下:  式中:SA、SB表示分别为系列内的新老不同规格产品价格;GA、GB表示分别为新老不同规格的生产规模;n表示生产规模指数。 例如:某种化工设备两种规格的单价如下:年产量2000吨的化工设备,成套价300万元,年产量5000吨的化工设备,成套价554万元;代入上述公式,n值即可计算如下:  现根据年产量2000吨的化工设备价格,估算年产1000吨化工设备的价格:  用此法估价时,新老规格越相近,估价越准确,新老规格相差10倍以上时,不宜采用此法。 |