网站首页  词典首页


请输入您要查询的字词:

 

字词 系数23.83
类别 中英文字词句释义及详细解析
释义 系数23.83

是在测定棉纤维零隔距时的断裂应力计算中所应用的一系数。

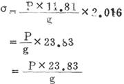
计算公式如下:也就是断裂应力等于乘以23.83。

因为σ=Ps×2.016

所以……a式

故将a式代入得

式中,σ为断裂应力,P为断裂负荷,g为棉束重量。

由此得到了23。83这一系数推导过程,而且也证明公式成立。

随便看

 

离鸟网收录3541549条中英文词条,其功能与新华字典、现代汉语词典、牛津高阶英汉词典等各类中英文词典类似,基本涵盖了全部常用中英文字词句的读音、释义及用法,是语言学习和写作的有利工具。

 

Copyright © 2004-2024 vtrois.com All Rights Reserved
更新时间:2026/4/6 16:57:40