网站首页  词典首页


请输入您要查询的字词:

 

字词 系数2.016
类别 中英文字词句释义及详细解析
释义 系数2.016

为在测定棉纤维的零隔距卜氏强力计算中所应用的一系数。

即σ=Ps×2.016,也就是断裂应力等于断裂比强度与2.016的乘积。

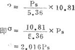
所以上式两边同时除以5.36得:

又因为σ=I×10.81

故将a式代入得

由此得到了2.016这一系数的推导过程。而且也证明σ=Ps×2.016这一公式成立。

随便看

 

离鸟网收录3541549条中英文词条,其功能与新华字典、现代汉语词典、牛津高阶英汉词典等各类中英文词典类似,基本涵盖了全部常用中英文字词句的读音、释义及用法,是语言学习和写作的有利工具。

 

Copyright © 2004-2024 vtrois.com All Rights Reserved
更新时间:2026/4/7 19:29:37