网站首页  词典首页


请输入您要查询的字词:

 

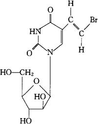
字词 索立夫定
类别 中英文字词句释义及详细解析
释义 索立夫定

C11H13BrN2O6=349.14

CAS-77181-69-2

(+)-1-β-D-阿拉伯呋喃糖基-5-[(E)-2-溴烯乙基]尿-嘧啶。

(+)-1-β-D-Arabinofuranosyl-5-[(E)-2-bromovinyl]uracil.

抗病毒药。

Sorivudine.

INN,USAN.

随便看

 

离鸟网收录3541549条中英文词条,其功能与新华字典、现代汉语词典、牛津高阶英汉词典等各类中英文词典类似,基本涵盖了全部常用中英文字词句的读音、释义及用法,是语言学习和写作的有利工具。

 

Copyright © 2004-2024 vtrois.com All Rights Reserved
更新时间:2026/4/7 19:38:19