网站首页  词典首页


请输入您要查询的字词:

 

字词 紫金牛
类别 中英文字词句释义及详细解析
释义 紫金牛

【名称出处】:《图经本草》

【概况】:

异名 平地木、叶下红(《李氏草秘》),矮脚樟(《纲目拾遗》),矮脚三郎(《植物名实图考》),矮茶、雪里珠、矮脚草、地茶(《植物名实图考长编》),矮茶荷(《草木便方》),矮茶风、地青杠(《分类草药性》),矮茶子(《天宝本草》),千年不大(《中国药用植物志》),矮地茶(《中国药典》、《湖南药物志》),叶下珍珠(《江西民间草药》),老不大(《浙江民间草药》),不出林、铺地凉伞、矮郎伞(《广西药用植物名录》),矮脚茶(《上海常用中草药》)。

基源 为紫金牛科紫金牛属植物紫金牛的全草。

原植物 紫金牛Ardisia japonica(Thunb.)Bl.

历史 紫金牛始载于《图经本草》,曰:“紫金牛生福州,叶如茶,上绿下紫,实圆红,如丹朱,根微紫色,八月采,去心曝晒,颇似巴戟。”《纲目拾遗》称,“叶底红,乃小木也,生山土,长不过一、二尺,叶如石楠,四月生蕊,五、六朵成簇,垂如脂麻铃花,花作青白色,六、七月结小子,如天竺子,霜后色红,俨如天竺子而大,俗呼矮脚樟,以其似樟叶而木短也。《植物名实图考》记载称“矮脚三郎生安南,高五、六寸,横根赭色,丛发,赭茎,叶生稍头,秋结圆实下垂,生青熟红…”。考证以上诸家所述,并结合附图,即为今日紫金牛。

形态 常绿小灌木或亚灌木,近蔓生,具匍匐生根的根茎,直立茎长达40cm,单一不分枝,圆柱形,表面紫褐色,有条纹,幼时被微柔毛,后脱落变无毛。叶近对生或3~4片集生于枝稍近轮生,叶片厚纸质或近革质,椭圆形至椭圆状倒卵形,长3.5~7cm,宽1.5~3cm,顶端短渐尖或急尖,基部楔形,边缘具细锯齿,上面深绿色,有光泽,下面带淡紫色,两面无毛或有时在下面仅中脉上被细柔毛,羽状叶脉,侧脉每边5~8条,细脉网状;叶柄长6~10mm,被微柔毛。亚伞形花序腋生或生于近茎顶端的叶腋,总梗长约5mm,有花2~6朵;花两性,5出数,花梗长7~10mm,通常下弯,花萼基部连合,萼片卵状三角形,长约1.5mm,顶端急尖,具缘毛,两面无毛,有时具腺点;花瓣粉红色或白色,广卵形,无毛,具密腺点;雄蕊较花瓣短,花药披针状卵形或卵形,背部具腺点;子房卵圆形,无毛。果实圆球形,直径5~10mm,成熟时呈鲜红色,多少具腺点。

花期5~6月,果期10~12月,有时至第二年的5~6月。

(图见《中国高等植物图鉴》.第3册.226页.图4405)

生境与分布 生于海拔70~1200m的山谷、山坡杂木林下,竹林下阴湿处。分布于中国陕西、江苏、安徽、浙江、江西、福建、台湾、湖北、湖南、广东、广西、四川、贵州、云南。

日本,朝鲜也产。。【生药】:

栽培 宜阴湿环境,需在肥沃、疏松而湿润的腐殖质土或砂质壤土中栽种。

用分株繁殖,在早春或晚秋挖起母株后,将带有须根的植株进行分株,剪下作种苗。按行株距各27cm开穴,每穴栽苗3株,覆土压紧,浇水定根。栽后返青时,结合中耕除草进行1次追肥,用人畜粪水追施。

生长中期再次追肥1次。

入冬前,用堆肥撒施。当植株封行后,每年结合松土除草,追肥1~2次。

也可用种子繁殖。

采集 全年可采茎叶,洗净,晒干。

。【化学】:

全株含挥发油0.1%~0.2%,有0.2%的镇咳有效成分岩白菜素,矮茶素Ⅱ号为一种甙,其糖的部分为果糖,此外,尚含蒽甙、鞣质、苦味质、羟基苯醌衍生物及三萜类成分。

叶含槲皮甙(Quercitrin)、杨梅树皮甙(Myricitrin)、岩白菜素和冬青醇(Ilexol)。根茎含信筒子醌(Embelin)和微量酸金牛醌。

果实与根茎均分离得羟基苯醌衍生物Ⅰ、Ⅱ、Ⅲ的混合物。另外,从全草中分得两种抗结核有效成分,即紫金牛酚Ⅰ(Ardisinol Ⅰ)和紫金牛酚Ⅱ[1]

另据报道,挥发油中含61种化合物,主要含龙脑(Borneol)、β-桉叶油醇(β-Eudesmol)和萜烯-4-醇(Terpinen-4-ol)[2]

从根茎得紫金牛酮A、B(Ardisianone A、B)和杜茎山宁(Maesanin)[3]

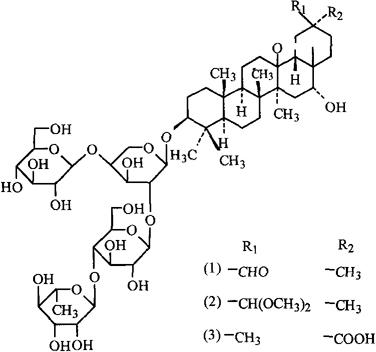
从地上部得三个三萜皂甙:仙客来亭A(Cyclamiretin)-3β-D-α-L-吡喃鼠李糖基-(1→4)-β-D-吡喃葡萄糖基(1→2)-[β-D-吡喃葡萄糖基-(1→4)]-α-L-吡喃阿拉伯糖甙(1)、仙客来亭A-3β-O-}α-L-吡喃鼠李糖基-(1→4)-β-D-吡喃葡萄糖基-(1→2)-[β-D-吡喃葡萄糖基-(1→4)]-α-L-吡喃阿拉伯糖甙}-16α-羟基-13,28-环氧-30,30-二甲氧基齐墩果烷(2)、仙客来亭A-3β-O-{α-L-吡喃鼠李糖基-(1→4)-β-D-吡喃葡萄糖基-(1→2)-[β-D-吡喃葡萄糖基-(1→4)]-α-L-吡喃阿拉伯糖甙}-16α-羟基-13,28-环氧齐墩果-29-酸(3)[4]

参考文献 [1] 江苏省植物研究所等.新华本草纲要.第1册.上海科学技术出版社,1988:386 [2] CA 1990;112:95525t [3] CA 1993;119:113373t [4] J Nat Prod 1993;56(10):1669。

【药理】:

❶ 镇咳、祛痰和平喘作用 紫金牛提取物250mg/kg ig对氢氧化铵喷雾引起小鼠咳嗽反应有明显的抑制作用,其煎剂15~20g/kgig对电刺激猫喉上神经引起的咳嗽,有明显的镇咳作用,矮茶素20mg/kg ig或ip亦有镇咳作用,且连续给药无耐受性产生。

小鼠酚红气管排泄法显示,100%紫金牛煎剂25g/kg ig有明显的祛痰作用,而矮茶素无效。大鼠毛细管法表明,其有效成分黄酮甙300mg/kg ig能显著增加气管分泌量而紫金牛挥发油无此作用。

黄酮甙100mg/kg ig30~90min后显著加快排痰速度。黄酮甙200~400mg/kg im或ip对组胺喷雾引起豚鼠哮喘有显著的平喘作用,但400mg/kg ig则无效[1]

❷ 抗菌作用 紫金牛体外试管法无抗菌作用,但煎剂中所含鞣质有抗菌作用。其黄酮甙62.5、125、250μg/ml浓度分别抑制流感嗜血杆菌、肺炎双球菌和金黄色葡萄球菌,挥发油对金黄色葡萄球菌作用较强。紫金牛酚Ⅰ(C20H32O2)和紫金牛酚Ⅱ(C19H30O2)抑制结核杆菌生长效力较强,抑菌效价分别为12.5,25~50μg/ml[1~3]
❸ 其他作用 矮茶素200mg/kg ip,小鼠热板法实验证明无止痛作用;对猫呼吸中枢无抑制作用,亦不对抗尼可刹米兴奋呼吸中枢作用[1]

紫金牛体外抑制HBsAg活性作用较明显[4]

毒性 成分黄酮甙ip,对小鼠的LD50为0.84±0.08g/kg;矮茶素ip对小鼠的MLD为10g/kg[1]

参考文献 [1] 中华医学杂志 1973;53(12):706 [2] 药学学报 1981;16(1):27 [3] 新医药学杂志 1973;(11):17 [4] 现代应用药学 1991;9(5):208

。【药性】:

性味 苦,平。

❶ 《植物名实图考》:“性寒。”
❷ 《现代实用中药》:“苦,平。”

功效 镇咳,祛痰,活血,利尿,解毒。

主治 慢性气管炎,肺结核咳嗽咯血,吐血,脱力劳伤,筋骨酸痛,肝炎,痢疾,急慢性肾炎,高血压,疝气,肿毒。

❶ 《李氏草秘》:“治偏坠疝气,捣汁冲酒服半碗。”
❷ 《植物名实图考》:“治肿毒,血痢,解蛇毒,救中暑。”
❸ 《草木便方》:“治风湿顽痹,肺痿久嗽。涂寒毒肿痛。


❹ 《分类草药性》:“治吐血,咳嗽,气痛。”
❺ 《现代实用中药》:“治肺结核咳嗽咯血;酒服,治跌打损伤,睾丸肿痛。”
❻ 《上海常用中草药》:“治湿热黄疸,肝炎,急性肾炎,膀胱炎,肺结核盗汗,咯血,脱力劳伤,筋骨酸痛,月经不调,副鼻窦炎。”
❼ 金华《常用中草药单方验方选编》:“治肺痨咳血,刀伤出血,无名肿毒,月经不调,小儿疳积,痢疾,脱肛,习惯性流产,少乳,慢性肾炎,高血压。”

用法用量 内服:煎汤,9~12g,大剂30~60g;或捣汁。外用,捣敷。

【临床应用】:

配伍应用 ❶ 配甘草梢,治脚气肿痛。

❷ 配鱼腥草,治肺痈。
❸ 配红枣,治急性黄疸型肝炎。
❹ 配枇杷叶、陈皮,治小儿肺炎。
❺ 配茯苓、泽泻,治水肿。

❻ 配菝葜、白马骨,治肺结核。
❼ 配茵陈、连钱草,治湿热黄疸。

❽ 配胡颓叶、猪胆汁,治肺热咳嗽、喘促痰稠或发热等症。
❾ 配麻黄、细辛、干姜,治寒痰咳嗽。
❿ 配十大功劳、百部、天门冬,防治肺结核、结核性胸膜炎。

⑾配川芎、当归、红花,治损伤疼痛。 ⑿配威灵仙、防已、八角枫,治风湿痹痛。 ⒀配枇杷叶、陈皮、旱莲草,治小儿肺炎咯血或痰中带血。

⒁配益母草、当归、川芎,治经闭腹痛。 ⒂配胡颓子叶、鱼腥草、桔梗,治慢性支气管炎。

方选和验方 ❶ 《杨春涯经验方》:“治吐血:叶底红60g(洗净,捣烂),猪肺1个(洗净)。将叶底红入猪肺管内,河、井水各600ml煮烂,至五更,去叶底红,连汤食之。


❷ 《江西民间草药》:“治肺痈:紫金牛30g,鱼腥草30g。水煎,2次分服。


❸ 《湖南药物志》:“治劳伤吐血:紫金牛45g,野鸡泡30g,水煎服。”
❹ 《湖南药物志》:“治咳嗽:紫金牛地上全草15g,车前草9g,紫苏9g,生姜3片。水煎服。”
❺ 《湖南药物志》:“治小儿疳积:紫金牛30g,沿阶草15g,桑皮15g,虎刺15g,沙参30g,淡竹叶之块根15g,胡颓子根15g,煮鸡蛋1~3枚食。”
❻ 《全国中草药汇编》:“治慢性支气管炎:紫金牛12g,胡颓子叶、鱼腥草各15g,桔梗6g。水煎分3次服,每日1剂。


❼ 《全国中草药汇编》:“治小儿肺炎:紫金牛30g,枇杷叶7片,陈皮15g,如有咯血或痰中带血加旱莲草15g。每日1剂,水煎分2次服。


❽ 《全国中草药汇编》:“治肺结核:紫金牛60g,菝葜、白马骨各30g。加水300ml。

煎成150ml,每服50ml,每日3次。”
❾ 《全国中草药汇编》:“治肺结核:紫金牛7.5g,五指毛桃、穿破石、百部、白及各3g,桑白皮1.7g。和密为丸,每丸重3g,含生药7.5g。每次服1丸,每日3次,饭后温开水送服。

小儿酌减。”
❿ 《全国中草药汇编》:“治急性黄疸型肝炎:紫金牛30g,红糖适量,红枣10枚。水煎服,每日1剂,连服1个月。” ⑾中医杂志 1981;(5):“治黄疸型肝炎:紫金牛60g,地柏枝、白马骨各30g。水煎服,每日1剂。忌酒、肉、面、冷食。

” ⑿人民军医 1981;(12):“治慢性支气管炎:米花草、五指毛桃各30g,紫金牛15g,百部9g,甘草3g。水煎(或制成糖浆)服。

每日1剂,10天为1疗程。”

单方应用 ❶ 《江西民间草药》:“治跌打胸部疼痛:紫金牛全草30g,酒、水各半煎,2次分服。”
❷ 《浙江民间草药》:“治血痢:紫金牛茎叶,水煎服。”
❸ 《浙江民间草药》:“治肿毒:紫金牛茎叶,水煎。”
❹ 《全国中草药汇编》:“治溃疡病出血:50%紫金牛煎剂100~200ml,分3~4次服。”
❺ 《湖南药物志》:“治肺痿:紫金牛全草20~30g,炖猪肺食饮。”
❻ 《湖南药物志》:“治劳伤吐血:紫金牛全草9~15g,水煎代茶饮。”
❼ 《湖南药物志》:“治乳汁缺乏:紫金牛全草15~30g,煮猪脚食。”
❽ 《湖南药物志》:“治月经不调:紫金牛全草30g。水煎服。”
❾ 《湖南药物志》:“治水痘:紫金牛根3~6g。水煎服。


❿ 《湖南药物志》:“治跌打损伤:紫金牛全草30~60g。水煎对酒服。

随便看

 

离鸟网收录3541549条中英文词条,其功能与新华字典、现代汉语词典、牛津高阶英汉词典等各类中英文词典类似,基本涵盖了全部常用中英文字词句的读音、释义及用法,是语言学习和写作的有利工具。

 

Copyright © 2004-2024 vtrois.com All Rights Reserved
更新时间:2026/4/8 7:30:53