纯亚硫酸钠作漂白脱氯剂用量的计算
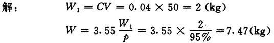
【说明】 根据亚硫酸钠(Na2SO3)脱除漂液中有效氯Ca(OCl)2的反应: Ca(OCl)2+2Na2SO3=CaCl2+2Na2SO4 1molCa(OCl)2能反应掉2molNa2SO3,而1molCa(OCl)2的有效氯含量相当于1mol的Cl2,所以,相当于1mol的Cl2与2mol的Na2SO3正好相互作用,即70.92gCl2需作用252gNa2SO3。 【公式】  式中 W——亚硫酸钠用量(kg) W1——漂白后浆料中残氯(即有效氯)含量(kg)  C——漂后残氯浓度(g/L) V——漂池容积(m3) G1——亚硫酸钠的摩尔质量,126g G2——Cl2的摩尔质量,70.92g p——亚硫酸钠的纯度(%) 【例1】 某厂-50m3漂池,漂后残氯为0.04g/L,试求需用95%的Na2SO3脱氯剂多少千克?  |