网站首页  词典首页


请输入您要查询的字词:

 

字词 纯硫代硫酸钠作漂白脱氯剂用量的计算
类别 中英文字词句释义及详细解析
释义 纯硫代硫酸钠作漂白脱氯剂用量的计算

【说明】 根据反应:

2Ca(OCl)2+Na2S2O3+H2O=2CaCl2+Na2SO1+H2SO4

可看出,反应相当于2mol的Cl2(有效氯)与1mol的Na2S2O3正好相互作用。即141.84g有效氯作用掉158g硫代硫酸钠。

【公式】

式中 W——Na2S2O3的用量(kg)

W1——漂白后浆料中残氯(即有效氯)量(kg),计算同式1-9-24

G1——Na2S2O3的摩尔质量(158g)

G2——Cl2的摩尔质量(70.92g)

p——Na2S2O3的纯度(%)

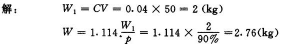
【例2】 某厂-50m3的漂池,漂后残氯为0.04g/L,求纯度为90%的Na2S2O3脱氯剂需用量?

随便看

 

离鸟网收录3541549条中英文词条,其功能与新华字典、现代汉语词典、牛津高阶英汉词典等各类中英文词典类似,基本涵盖了全部常用中英文字词句的读音、释义及用法,是语言学习和写作的有利工具。

 

Copyright © 2004-2024 vtrois.com All Rights Reserved
更新时间:2026/4/6 18:58:22