网站首页  词典首页


请输入您要查询的字词:

 

字词 纯随机抽样
类别 中英文字词句释义及详细解析
释义 纯随机抽样

亦称“简单随机抽样”、“概率抽样”。

简称“随机抽样”。根据随机原则从全及总体中抽取一定数量调查单位的抽样方法。通常采用抽签办法来抽取调查单位。如从一万户居民中抽取一百户进行家计调查,可先将这一万户居民的户主姓名逐一写在纸条上,而后搅拌均匀,从中抽取一百户作为调查单位。

也可以采用编好的随机数字表进行抽取。这种抽样方法比较简便,当总体单位之间差异较小时可以采用,但需抽取较多样本。

纯随机抽样符合抽样调查的随机原则,是抽样调查的基本形式。抽样误差也是以纯随机抽样为基础,其他各种抽样方法都可用纯随机抽样公式来处理。但纯随机抽样也有其局限性,通常全及总体单位很多,难以做到逐一编号。如对连续生产的工业产品进行质量抽查,就无法对全部产品进行编号抽样。若全及总体的标志变动度较大,则纯随机抽样的代表性不如分组后再抽样的代表性高。因此,在实际工作中,很少采用这种抽样方法。

纯随机抽样的抽样平均误差计算公式,有以下两种:

(一)重复抽样平均误差:

由抽样平均数推断全及平均数时,计算抽样平均误差的公式为:

式中:为抽样平均误差,σ为全及总体标准差,n为抽样总体单位数。

由抽样成数(p)推断全及成数时,计算抽样平均误差的公式为:

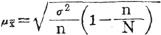
(二)不重复抽样平均误差:

由抽样平均数推断全及平均数时,计算抽样平均误差的公式为:

式中:N为全及总体单位数。

由抽样成数推断全及成数时,计算抽样平均误差的公式为:

随便看

 

离鸟网收录3541549条中英文词条,其功能与新华字典、现代汉语词典、牛津高阶英汉词典等各类中英文词典类似,基本涵盖了全部常用中英文字词句的读音、释义及用法,是语言学习和写作的有利工具。

 

Copyright © 2004-2024 vtrois.com All Rights Reserved
更新时间:2026/4/7 18:18:23