纸中填料留著率的测定计算
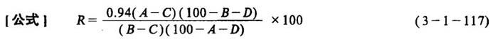
[测定方法1分别称取纯纤维100g、加填后浆3g(绝干)、填料3g、成纸3g各之经相应处理后烘干恒重,之后分别装入已灼烧至恒重的瓷坩埚中。将盛有各种试样的坩埚在电炉上灼烧,使之炭化。然后移入高温炉内,在775士25℃的高温下灼烧至灰渣中无黑色碳素,取出坩埚,在干燥器内冷却后称重,直至恒重。   式中 R-填料留著率(%) A-纸张灰分(%) B-加填浆料灰分(%) C-纤维灰分 D-填料灼烧减量(%),见表3-1-6 表3-1-6 填料的灼烧损失参考表  0.94-校正系数,在实际生产中是有少量纤维流失的,一般为6%左右,因此,乘上校正系数0.94,也即纸张纤维收获率 [注意]式3-1-113中,未考虑填料灼烧减量。纤维本身灰分及纤维流失因素,因而其计算结果偏高一些。 [例]某厂生产打字纸,经测定成纸灰分为10%,加填浆料灰分为19%,纤维灰分为0.8%,填料灼烧减量为5%,求填料留著率。  |