网站首页  词典首页


请输入您要查询的字词:

 

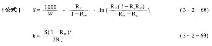
字词 纸和纸浆光散射和光吸收系数的测定计算
类别 中英文字词句释义及详细解析
释义 纸和纸浆光散射和光吸收系数的测定计算

[说明]本标准规定了基于库贝尔卡一门柯理论的纸及纸浆的光散射系数和光吸收系数的测定法。

[适用范围]适用于各种白色或近白色不含荧光物质的实验室纸页和纸张,它们的内反射因数应不大于50%,而不透明度小于95%。

[使用仪器]光电积分式反射光度计、工作标准板及标准黑筒等。

[测定方法]执行GB10339-89(国家技术监督局1989-02-22发布,1989-09-01实施)。

式中 S-光散射系数(m2/kg)

W-定量(g/m2)

K-光吸收系数(m2/kg)

其它同式3-2-59

[注意]如果试样的两面光散射系数之差小于1.0m2/kg,则报告正反面的平均值。

随便看

 

离鸟网收录3541549条中英文词条,其功能与新华字典、现代汉语词典、牛津高阶英汉词典等各类中英文词典类似,基本涵盖了全部常用中英文字词句的读音、释义及用法,是语言学习和写作的有利工具。

 

Copyright © 2004-2024 vtrois.com All Rights Reserved
更新时间:2026/5/28 14:50:02