纸浆中绝干纤维量的自动计算
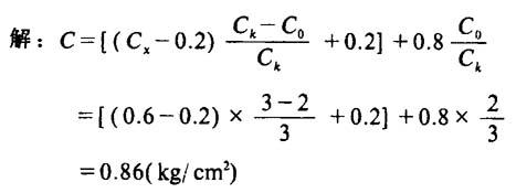
1.纸浆中绝干纤维量的计算  式中 Q——纸浆流量(t/h) C——纤维浓度(%) 2.浓度变送器输出信号的变换计算 [说明]由于任何浓度变送器的测量范围都不是从零开始,其输出信号的最小值也不为零,而其浓度的实际测量范围较低,因此,为了得到绝干纤维流量的正确数值,必须把浓度变送器的输出信号进行变换,即把这个信号值由0到Ck测量范围的浓度作相应的变化,这种变换可由下式进行。   Ck——浓度变送器测量范围的上限值(%) C0——浓度变送器测量范围的下限值(%) K2——相应于变送器从0扩大到C0测量低限范围的部分,对于带标准气动输出信号的变送器,可用下式计算  3.浓度变送器输出信号的计算 [说明]对ЛΦ1.1型加法器输出端所得的信号可由下式计算。  式中符号含义及单位均同上 [例]当浓度变送器的测量范围为1%,上限Ck==3%,相应于输出压力为1.0kg/cm2;下限为C0=2%,输出压力为0.2kg/cm2.。如果现在浓度值为2.5%,在给定的测量范围内浓度变送器的输出信号值为Cx=0.6kg/cm2,求浓度变送器输出信号的变换值。  |