网站首页  词典首页


请输入您要查询的字词:

 

字词 纸浆浓度调节器的计算
类别 中英文字词句释义及详细解析
释义 纸浆浓度调节器的计算

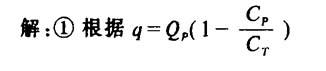
1.浓度调节对象的静态方程式

式中 Cp、Qp——稀纸浆的浓度及流量

CT——浓纸浆的浓度

q——稀释液的流量

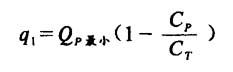
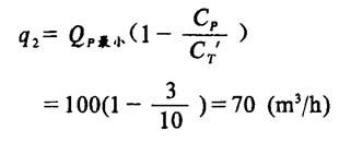
2.纸浆浓度变化量的计算及实例

[说明]当在大量稀释的条件下,纸浆的浓度有时会出现波动,这可能是由于活动间隙、停滞等引起的。在很多情况下,例如在对造纸机的冲浆泵中供给纸浆时,这样的波动是不容许的。一般来说,浓度的变化与稀释前后纸浆浓度差成线性关系。因此,要保持浓度的高精度,就要求调节系统中纸浆的稀释应当不大于0.5%。

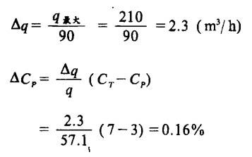
式中 △Cp——被调浓度的变化(%)

△q——稀释水量的变化(m3/h)

其它同上

[例]设浆池浓度从Cp最小=7%到CT最大=10%之间波动,被稀释纸浆的流量从Qp最小=100m3/h到Qp最大=300m3/h之间变化,要求保持浆池出口的纸浆浓度为Cp=3%.❶ 试求稀释水的流量q,
❷ 假如我们是在稀释水管道中调节机关开度为90%时取其流量q最大值,而该阀门的特性是线性的话,求被调纸浆浓度的变化△Cp
❸ 求在Qp最小时Cp由小到大时的稀释水量的变化以及相当于调节机关的开度的变化。

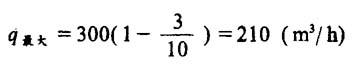
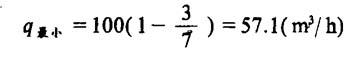
当浓纸浆的浓度为最小时,稀释水的最小流量为:

当浓纸浆浓度为最大时,稀释水的最大流量为:

❷ 阀门1%行程改变的稀释水量为:

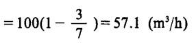
❸ 在Cp为7%稀释到3%时:

在Cp为10%稀释到3%时:

在q1时相当于调节机关的开度:

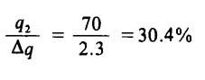
在q2时相当于调节机关的开度:

即相当于调节机关的开度从24.8%变化到30.4%。

随便看

 

离鸟网收录3541549条中英文词条,其功能与新华字典、现代汉语词典、牛津高阶英汉词典等各类中英文词典类似,基本涵盖了全部常用中英文字词句的读音、释义及用法,是语言学习和写作的有利工具。

 

Copyright © 2004-2024 vtrois.com All Rights Reserved
更新时间:2026/5/27 11:10:34