网站首页  词典首页


请输入您要查询的字词:

 

字词 纸页定量的测定计算
类别 中英文字词句释义及详细解析
释义 纸页定量的测定计算

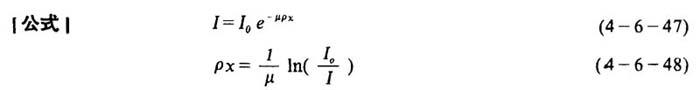
[说明]当放射线透过物质时,由于散射,吸收等的作用而衰减,纸页定量测定仪表正是采用了穿过纸页或从纸页反射的β粒子流的减弱的作用来测定纸页定量的。

式中 I——射线穿过物质的检测器的输出强度

I0——射线未穿过纸页前的强度

μ——根据放射线的能量与被穿透的物质来决定的物质固有的质量吸收系数(m2/g)

ρ——被穿透纸页的密度(g/m3)

χ——被穿透纸页的厚度(m)

ρχ——纸页的定量(g/m2)

随便看

 

离鸟网收录3541549条中英文词条,其功能与新华字典、现代汉语词典、牛津高阶英汉词典等各类中英文词典类似,基本涵盖了全部常用中英文字词句的读音、释义及用法,是语言学习和写作的有利工具。

 

Copyright © 2004-2024 vtrois.com All Rights Reserved
更新时间:2026/4/6 18:30:24