线、圆棒、角形棒的弯曲
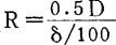
线材、圆棒、角形棒等的实心断面的最小弯曲半径,仍然受拉伸部分弯曲外侧的延伸性所限制。弯曲的界限,因为将引起对超过材料延伸限度部分的损伤,所以如在延伸界限的范围内,就能进行平滑的弯曲。如沿著工具的形状进行弯曲,也能防止把形状搞坏。实际使用的弯曲半径,示于表6。 表6 铝合金线材、棒材的实用弯曲半径(内径)  另外,圆棒的最小弯曲半径,根据加工方法或润滑状态,是有相当变化的。但是,假定中立轴对准断面中心时,使圆棒外边的变形量正好达到材料的延伸率时的弯曲半径,可视为最小的弯曲半径,那么下式可成立。  式中 R——中立轴的最小弯曲半径,毫米。 D——圆棒的外径,毫米。 δ——材料的延伸率,%。 |