网站首页  词典首页


请输入您要查询的字词:

 

字词 线性插值方法
类别 中英文字词句释义及详细解析
释义 线性插值方法

一组有联系的数量对应关系。

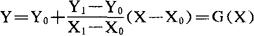
可以用一定函数式Y=f(x)来表示。现在如果只掌握Y=f(x)上的两个对应点(X0,Y0),(X1,Y1)通过这两点,可以唯一地确定一个直线方程Y=G(X),就以G(X)近似地代替原函数F(X),并利用Y=G(X)方程推求两点之间的对应值。这种方法称为线性插值方法。

线性插值方法是误差理论与实验数据处理方法之一种。

它的方程式为:

线性插值多项式,实际上是拉格朗日插值多项式的一个特例。

随便看

 

离鸟网收录3541549条中英文词条,其功能与新华字典、现代汉语词典、牛津高阶英汉词典等各类中英文词典类似,基本涵盖了全部常用中英文字词句的读音、释义及用法,是语言学习和写作的有利工具。

 

Copyright © 2004-2024 vtrois.com All Rights Reserved
更新时间:2026/5/25 20:01:12