网站首页  词典首页


请输入您要查询的字词:

 

字词 线性方程组
类别 中英文字词句释义及详细解析
释义 线性方程组

6.2.1 含n个未知量n个方程的线性方程组解法

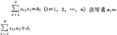
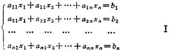
含n个未知量n个方程的线性方程组

当常数项b1,b2,…bn不全为零时,I称为非齐次线性方程组;当b1,b2,…bn全为零时,I称为齐次线性方程组。

则线性方程组Ⅰ可写成矩阵形式Ax=b。

逆矩阵解法:当|A|0时,线性方程组Ⅱ的解为x=A-1b,式中A-1是系数矩阵A的逆矩阵,x称为Ⅱ的解矢量。

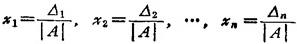
克莱姆法则:若|A|0,则方程组Ⅰ的解为

式中 △1,△2,…,△n分别为以常数项矢量b代换系数矩阵A中第i列矢量后得到的n阶行列式。

工程中常用的有如下近似解法:

一是高斯消去法(主元素消去法),对于n阶线性方程组

消元求解的步骤为:

❶ 在系数矩阵中找出绝对值最大的元素(主元素),一般设a11为主元素(可换位获得)。将第一个方程乘以-,分别与第t个方程相加,得到新

的n阶线性方程组。

❷ 在除第一行外的系数矩阵找出主元素,一般设b22为主元素,再将第二个方程乘以-

别与第i个方程相加(i=3,4,…n),得到新的n阶线性方程组。

❸ 按照❶ 、❷ 的方法进行n-1次以后,消元过程结束,原来的系数矩阵已经化为上三角矩阵(未知量的次序也经过了若干次调换)。

❹ 由第n个方程解出xn。将xn代入第n-1个方程,解出,…,最后将已解出的x2,x3,…,xn代入第一个方程解出x1。

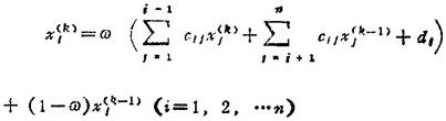
二是赛德尔迭代法。其一般步骤为:

❶ 将线性方程组

❷ 任选一组初始值x1(0)),x20)0),…xn(0)作为方程的第0次近似解。

❸ 依次使k=1,2,3…,用公式

求出方程的第k次近似解,直到满足给定精度ε为止。

三是松弛迭代法。其基本步骤与第二种方法相同,只是把其中的第❸ 步的迭代公式改为

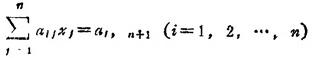
6.2.2 线性方程组有解的判别定理

对于含n个未知量m个方程的线性方程组,以r(A),r(C)分别表示系数矩阵A和增广矩阵C的秩,则:

当m=n且r(A)=r(C)=n(或|A|0)时,方程组有唯一解。

当r(A)<r(C)时,方程组无解,称为矛盾方程组。

当r(A)=r(C)=r<n(或|A|=0)时,方程组有无穷多组解。

齐次线性方程组有非零解的充要条件是r(A)<n,即|A|=0。

6.2.3 线性方程组的解的结构

当r(A)=r<n时,齐次方程组Ax=0的任一非零解x=(x1,x2,…,xn)t都可用它的n-r个线性无关解x(1)=(,…,)r(i=1。2,…,n-r)的线性组合来表示。这n-r个线性无关解称为方程组的基础解系,它不是唯一的。

设x(0)=(,…,)r是线性方程组Ax=b的一个特解,则它的任一解x=(x1,x2,…xn)r都可表示为x=x(0)+η。其中η=(,…,)是它相应的齐次方程组Ax=0的一个解。

随便看

 

离鸟网收录3541549条中英文词条,其功能与新华字典、现代汉语词典、牛津高阶英汉词典等各类中英文词典类似,基本涵盖了全部常用中英文字词句的读音、释义及用法,是语言学习和写作的有利工具。

 

Copyright © 2004-2024 vtrois.com All Rights Reserved
更新时间:2026/4/8 1:57:29