线性规划对偶问题
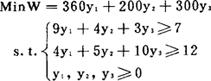
实质相同但从不同角度提出不同提法的一对问题,称互为对偶的问题。 对偶现象是许多管理与工程实际中存在的一种普遍现象。例如,企业怎样充分利用现有人力、物力去完成更多的任务和怎样用最少的人力、物力消耗去完成给定任务,就是互为对偶的一对问题。 线性规划问题中存在的对偶性关系,在线性规划的理论及其应用上都是极为重要的。 (1)对偶模型 一个线性规划问题,都存在一个与之相联系的对偶问题。线性规划原问题与对偶问题在模型上有如下对应关系:  典型形式的线性规划模型,根据上述对应关系,应有: 原问题   对偶问题  线性规划模型条目中,举例模型  其对偶模型为  (2)对偶问题的基本性质 ❶ 对称性:对偶问题与原问题互为对偶。 ❷ 对偶不等式:若X是原问题的可行解,Y是对偶问题的可行解,则有:CX≤Yb ❸ 强对偶性:若X*是原问题的最优解,Y*是对偶问题的最优解,则有:CX*=Y*b ❹ 检验数与解的对应关系:原问题松弛变量(或剩余变量)的检验数,对应对偶变量的解。 反之亦然。 ❺ 松紧性:若 、 分别是原问题决策变量与松弛变量的最优解;y1*, 分别是对偶问题对偶变量与剩余变量的最优解,则有:  根据上述性质的3、4,我们求解出一个线性规划问题,相当于对其对偶问题也作出了求解。 例如,根据对线性规划模型条目中例题求解的单纯形最终表(见求解线性规划模型单纯形法表格),可立即写出其对偶模型的解:  (3)对偶解的经济含义——影子价格 线性规划对偶问题对偶变量的最优解,表示在最优计划情况下,对原问题中各种资源的评价值。 具体的数量定义是,表示增加一个单位的某种资源,对目标函数的贡献。例如,上述对偶解y2*=1.36,表示电力资源增加一个单位,能使目标增加1.36万元;y3*=0.52,表示人工资源增加一个单位,能使目标增加0.52万元。这个评价值常称为资源的边际价格或称资源的影子价格。 |