线性规划简化单纯形表
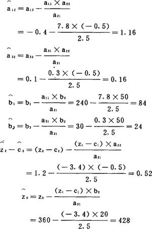
为了提高单纯形法的计算效率,简化单纯形法计算过程而提出的“改进单纯形法”的表格形式。 用简化单纯形表求解线性规划问题的步骤与一般单纯形表求解步骤基本相同,其差异主要有以下三点: (1)在构造单纯形表时,变量行中只填非基变量,而不必列出基变量。相应地,aij系数矩阵中基变量对应的单位矩阵亦不列入。 (2)运算中,确定了出基变量与进基变量构造新表时,出基变量与入基变量必须互换位置。 (3)新表元素计算: ❶ 新表中主元列(j*)各元素(除主元素外),由主元素ai*j*除旧表主元列各元素相反的数组成: ❷ 新表中主元行(i*)各元素(除主元素外),由主元素a1*1*除旧表主元行各元素组成: ❸ 新表中主元素为旧表中主元素的倒数: 新表中其他元素(非主行、非主列元素)计算方法同一般单纯形表算法相同。 例,对一般单纯形表举例,重用简化单纯表计算。 初始表:  第二表:  最终表:  下面写出几个由第二表计算出最终表元素的算式:  |