细浆得率的计算
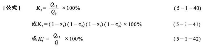
[说明]指蒸煮后的粗浆,经洗涤、筛选除渣之后所得的细浆量占蒸煮前原料重量或蒸煮后粗浆量的百分比。  式中 K3、K3′——分别为细浆对粗浆、蒸煮原料的得率(%) Q13——细浆量(kg) Q——同式5-1-36 [讨论]式5—1—40反映蒸煮、洗涤过程浆料的质量和产量情况;式5-1-42反映蒸煮后粗浆经洗选等后纸浆的产质量。要求在保证浆的质量的情况下该值以大为好。 [例]某厂甲班每小时生产未漂细浆100m3,浆浓5%,纸浆容重50.6kg/m3,洗选排渣和流失总量186.95kg(绝干),粗浆量5192.95kg(绝干),粗浆得率46%,求: ❶ 以粗浆为基准的细浆得率; ❷ 以蒸煮原料为基准的细浆得率; ❸ 洗选排渣流失率。  |