网站首页  词典首页


请输入您要查询的字词:

 

字词 经典正态线性回归模型
类别 中英文字词句释义及详细解析
释义 经典正态线性回归模型

与[经典线性回归模型]相比,该模型增加了对随机扰动项的正态假定,即假定

ui~N(0,σ2)

(1)正态假定的合理性:因为ui代表了大量没有引入回归模型的独立变量的联合影响,这些影响既是微小的,又是随机的,根据数理统计学的中心极限定理,可以假定为正态分布。

(2)正态假定的必要性:用普通[最小二乘法]对[经典线性回归模型]进行参数估计时,得到的是点估计量;要知道这些点估计量的可靠程度,必须求出其[置信区间],这就要求知道估计量的概率分布。对扰动项作正态假定后,β、Y及σ2等估计量的分布都可推导出来,从而为构造它们的置信区间铺平道路。 (谢方)

最大似然法(method of maximum likelihood)

设随机变量ξ具有密度函数f(x;θ1,θ2,…,θ1),此处x为ξ的观测值,θ1,θ2,…,θ1为参数。

若(x1,x2,…,xn)是样本(ξ1,ξ2,…,ξn)的一个观测值,那么(ξ1,ξ2,…,ξn)落在点(x1,x2,…,xn)的邻域里的概率为

最大似然法的基本思想是:样本(ξ1,ξ2,…,ξn)

一次落在点(x1,x2,…,xn)的邻域里的概率,一定是所有#中最大的。

对回归模型Y=Xβ十u应用最大似然法时,似然函数为

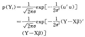
此处p(Yi)表示Yi的概率密度,若Yi服从正态分布,则:

为求极值方便,对似然函数求对数

解方程组

得到最大似然估计量#(其中e=Y-Xβ)。

可以看出,β的最大似然估计量与最小二乘估计量完全相同,σ2的最大似然估计量略有不同,它在小样本时是有偏估计量,大样本时是一致估计量。 (谢方)

置信区间(confidence interval)

设总体分布有一参数β,根据样本计算其估计量为β,对于给定的正数α(0<α<1),找出另一正数δ,使

P(β-δ≤β≤β+δ)=1-α

成立,那么区间[β-δ,β+δ]称为β的100(1-α)%置信区间。其中1-α称置信度(degree of confidence),常用百分数表示为100(1-α)%。

上式表明,由样本观测值构造的置信区间包含真值β的概率为1-α,所以[β-δ,β+δ]又称为β的区间估计式。

由最小二乘法得到的是回归方程系数的点估计式,进一步推导出的系数方差和扰动项方差也都是点估计式。

仅由点估计式无法判断其可靠程度,而区间估计式则补充了这一不足。区间估计式指出了真值落在该区间内的概率。

置信区间也用于[假设检验],称置信区间法。如果原假设给出的β值落在置信区间外,那么我们就拒绝原假设,接受备择假设。

随便看

 

离鸟网收录3541549条中英文词条,其功能与新华字典、现代汉语词典、牛津高阶英汉词典等各类中英文词典类似,基本涵盖了全部常用中英文字词句的读音、释义及用法,是语言学习和写作的有利工具。

 

Copyright © 2004-2024 vtrois.com All Rights Reserved
更新时间:2026/4/8 3:29:09