网站首页  词典首页


请输入您要查询的字词:

 

字词 经济增长理论
类别 中英文字词句释义及详细解析
释义 经济增长理论

经济增长理论研究国民收入的增长,它是西方宏观经济学的一个重要部分。

它通过研究实现经济均衡增长的条件,以及影响经济增长的因素等问题,来解释国民收入长期发展的态势。西方经济学通常把经济增长规定为产出量的增加,一般用国民收入总量或人均国民收入量作为测量经济增长的尺度。

经济增长理论试图在宏观经济分析方法上突破凯恩斯的短期、静态分析,实现对国民收入长期和动态化分析。

(1)经济增长模型。

1939年英国经济学家哈罗德(Harrod,R.F.)在《经济学杂志》上发表了《一篇关于动态理论的论文》,在文章中,他批评了凯恩斯宏观经济学所使用的短期静态分析方法以及把研究重点放在对未来的不确定性和人们的心理预期分析上的做法,指出忽视经济增长问题,缺乏对国民收入长期和动态的分析是凯恩斯理论体系的根本缺陷。哈罗德力图建立起一种旨在反映国民收入长期发展的动态的经济增长理论(Harrod,1939)。

哈罗德这篇论文一般被认为是现代经济增长理论产生的标志。

1984年,哈罗德在《动态经济学》一书中系统地论述了他的经济增长理论和模型,同年美国经济学家多马(Domar,E.D.)也提出了在表述形式上不同于哈罗德模型,但实质上一致的增长理论。

在西方经济学文献上,把他们二人的增长模型称为“哈罗德-多马模型”(Harrod-Domar Model),通常用哈罗德增长模型的基本公式表达二者的经济增长思想。

在吸收乘数-加速理论的基础上,哈罗德提出了“资本-产出比率”概念,利用它来推算下一期达到充分就业时所需的追加投资,使投资与国民收入的均衡增长相适应。

这样,哈罗德将时间因素引入了宏观经济分析之中。根据对投资作用的动态分析,哈罗德认为,在本期内,在国民收入均衡条件下,投资决定于储蓄倾向,经济增长取决于储蓄率和资本-产出比两个因素,即:

上式中G是经济增长率;s为储蓄率;V为资本-产出比,它被假定为一个常数。

哈罗德模型是对凯恩斯国民经济均衡条件,投资等于储蓄(I=s)的动态表述,(哈罗德,1973)。即在分析中引入了时间因素和资本-产出比概念,强调了投资对增加收入和生产能力的作用。哈罗德模型更著重强调的是,只有具备了凯恩斯的均衡条件,经济才能实现均衡增长。同时,他还指出,考虑到企业家的预期,只有V代表的资本-产出比与企业家意愿的这一比率相一致时,这时的增长率才是有保证的增长率。

再考虑充分就业目标,还必须使国民收入的增长率与劳动力的增长率相等,只有满足上述所有条件,才能实现充分就业的均衡增长。由于在资本主义经济中很难找到上述各种因素保持一致的协调机制,所以西方学者认为实现哈罗德模型中的均衡增长是非常困难的。

哈罗德和多马的增长模型发表后,引起了很大反响。索洛(Solow,R.)、斯旺(Swan,T.)、米德(Meade,J.E.)、罗宾逊(Robinson,J.)、卡尔多(Kaldor,N.)等人分别对这两个模型提出修正和补充或建立了新的增长模型。

其中尤以索洛和卡尔多创立的增长模型对经济增长理论的发展产生了很大影响。

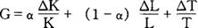
索洛1956年在《经济学季刊》上发表了《对经济增长理论的一个补充》。在该文中,索洛以柯布-道格拉斯生产函数(Cobb-Douglas Production Function)为基础,推导出一个新的增长模型。这个模型假定,第一,资本一产出比率是可变的;资本和劳动可以互相替代;第二,市场是完全竞争的,价格机制发挥主要调节作用;第三,不考虑技术进步,技术变化不影响资本-产出比率,因而规模收益不变。

用α和1-α分别代表资本和劳动对总产出量的贡献,为资本增长率;为劳动增长率,该模型用公式可以表示为:

从上式中可以看出,经济增长率G由资本和劳动的增长率及其边际生产力决定。依据这一模型,人们可以通过调节生产要素投入的边际生产力,即调整资本和劳动的配合比例,来调节资本-产出比率,以实现理想的均衡增长。

索洛模型通过引入市场机制和改变资本-产出比率为常数的假定,发展了哈罗德-多马模型,但索洛仍然没有将技术进步作为重要因素纳入模型,这是一个很大的缺陷,因为技术进步在促进经济增长中的重要作用是现实中一个明显的事实。

索洛也意识到这一点,(Solow,1957)并对自己的模型进行了修正,米德也于1960年对索洛模型进行了补充(Meade,1960),在原有模型中引入了技术进步和时间因素。修正后的模型被称为“索洛-米德模型”(Solow-Meade Model),其基本公式为:

上式中代表技术进步。索洛模型和之后的索洛-米德模型不仅体现了凯恩斯主义,而且体现了新古典学派的经济思想,属于“新古典综合派”的经济增长理论,常被称为新古典增长模型。

卡尔多认为哈罗德-多马模型中存在的内在不稳定性,即实际增长率与有保证增长率极易发生偏差问题,新古典模型并没有解决。因为投资一旦形成资本,凝固在其中的生产技术是难以改变的,这就决定了生产要素不易迅速替代,从而资本-产出比率不易调整。卡尔多试图从资本家和工人之间的收入分配差别角度解决上述问题,认为实现均衡增长的办法是将技术进步与资本-产出比率结合起来,而不能像索洛-米德模型那样将技术进步当作一个单独的因素。如果技术进步比资本存量增长快,资本的边际生产率就会提高,导致更多的投资。反之,如果资本投入比技术进步快,资本的边际产值就会减少,从而抑制投资速度。罗宾逊持有与卡尔多基本相同的看法,他们认为,实现经济均衡增长的根本途径是调整资本收入和劳动收入在国民收入分配中的比例,实现收入分配的均等化。

卡尔多和罗宾逊属于凯恩斯“左派”,他们的增长模型代表了新剑桥学派的观点,通常被称为新剑桥增长模型。

(2)经济增长因素分析。经济增长因素分析是研究影响经济增长的各种因素,并衡量它们所起作用的大小,寻求正确利用这些因素促进经济增长的理论。

上述哈罗德-多马模型,索洛模型中已包含对经济增长因素的分析。

丹尼森(Denison,E.)在此基础上,提出了增长的“余值”分析法,以解释无法用生产要素投入说明的那部分增长率(丹尼森,1962)。1967年,丹尼森研究了9个发达国家的经济增长因素,发现经济增长中有近三分之二来自于生产要素投入增加以外的因素,他称之为“余值增加”(the residual growth)。

凡尼森之后,肯德里克(Kendrick,J.W.)、乔根森(Jorgenson,D.)、索洛等人又进一步研究这个问题,发现余值增长一般有三种发生方式:(1)向上移动生产函数。由于资本和劳动投入增加,技术进步使总量生产函数“向上移动”,索洛等认为,技术进步是向上移动生产函数的主要动力(2)由于体现技术进步的新机器设备等的资本存量增加,表现为资本的产出弹性不断增大。

(3)由于“质量改善了的劳动”投入增加,表现为劳动的产出弹性增大,丹尼森认为它也体现著技术进步,主要是教育对劳动质量的提高。

这三种方式都可以促进经济增长中余值增长加速,其中技术进步的推动作用最大。

库兹涅茨(Kuznets,S.)对经济增长因素的分析采用了统计分析方法。他通过对国民生产总值及其组成部分的长期估量和分析,比较各国经济增长的差异。

他认为影响经济增长的因素主要是知识存量的增加、劳动生产率的提高和结构方面的变化(Kuznets,1966)。

从60年代末开始,经济增长理论研究的一个新的趋势,就是对经济增长限度问题的研究。其中以“罗马俱乐部”的“零增长”理论影响最大。该理论著重分析了资源、环境污染对增长的限制。

参考文献:

哈罗德,1981,《动态经济学》,商务印书馆。

谭崇台,1990,《发展经济学》,上海人民出版社。

Harrod,R.F.,1973,Economic Dynamics,Macmillan Press.

Denison,E.,1967,Why Growth Rate Differ:Postvuar Experience in Nine Western Countries,Brookings Institution.

Domar,E.D.,1957,Essays of the Theory of Economic Growth,Oxford University Press.

Harrod,R.F.,1973,Economic Dynamics,Macmillan Press.

Harrod,R.F.,1939,An Essay in Dynamic Theory,Economic Journal,March.

Forrester,J.W.,1971,World Dynamics,MIT Press.

Meade,J.E.,1960,A Neo-Classical Theory of Economic Growth ,Allen & Uniwin.

Meadows,H.,etc,1972,The Limits to Growth,New York University Books.

Kuznets.S.,1966,Modern Economic Growth:Rate Structure and Spread,Yale University Press.

Solow,R.,1956,A Contribution to the Theory of Economic Growth,Quarterly Journal of Economics,Februarv.

随便看

 

离鸟网收录3541549条中英文词条,其功能与新华字典、现代汉语词典、牛津高阶英汉词典等各类中英文词典类似,基本涵盖了全部常用中英文字词句的读音、释义及用法,是语言学习和写作的有利工具。

 

Copyright © 2004-2024 vtrois.com All Rights Reserved
更新时间:2026/4/7 14:27:08