网站首页  词典首页


请输入您要查询的字词:

 

字词 绒白乳菇
类别 中英文字词句释义及详细解析
释义 绒白乳菇

【概况】:

基源 红菇科(乳菇科)乳菇属真菌绒白乳菇的子实体。

原植物 绒白乳菇Lactarius vellereus Fr.,又名蘑菇(山西)。

形态 丛生;菌盖直径5~10cm,早期中央呈脐状,伸展后下凹而成漏斗状,白色,不粘,无环带,有一层细绒毛,边缘内卷,最后伸开;菌肉白色,坚实,厚;菌褶与菌柄呈贴生至稍延生,新鲜时白色,干燥后变为黄色,不等型,稀疏至较稀疏;孢子印白色:菌柄圆柱形,长3~5cm,直径1.5~2.5cm,白色,中实,表面有一层细绒毛。孢子透明无色,壁表近平滑,近球形至椭圆形,直径7~9μm;囊状体披针形,70~100×5~7μm。乳汁白色,稀少,不变色,味苦。

(图见《中国药用真菌》.176页.图68)

生境与分布 生于阔叶林中地上。分布于吉林、陕西、甘肃、安徽、福建、湖南、四川、贵州、云南、西藏等地。

。【化学】:

主要含倍半萜类化合物。

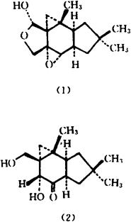
有绒状曲菌醛硬脂酸酯(Velutinal stearic acid ester)[1,2]、及其转化产物绒状曲菌双醛(Velleral)和异绒状曲菌双醛(Isovelleral)[2]、7α,8β-二羟基小皮伞-5,13-内酯(7α,8β-Dihydroxy-marasman-5,13-lactone)[3]、绒状曲菌醛(Velutinal)(1)、乳菇内酯A(Lactarorufin A)、异乳菇内酯(Isolactarorufin)、9α,10α,13-三羟基-小皮伞-7(8)-烯-5酸-γ-内酯(9α,10α,13-Trihydroxy-marasm-7(8)-en-5-oic acid-γ-lactone)、5,7α-二羟基-13-去甲小皮伞-8-酮(5,7α-Dihydroxy-13-normarasman-8-one)(2)、5,8α-二羟基-13-去甲小皮伞-7-酮[4]。此外尚含维生素B1(Thiamin)[5]、脂肪醇[6]、脂肪酸[7]

参考文献 [1] Tetrahedron Lett 1983;24(13)∶1415 [2] J Nat Prod 1985;48(2)∶279 [3] CA 1988;108∶164710f [4] Phytochemistry 1988;27(1)∶187 [5] CA 1986;104∶85454q [6] CA 1980;92∶194513n [7] CA 1981;95∶182716e。【药性】:

性味 苦,温。

功效 追风散寒,舒筋活络。

主治 手足麻木,腰腿疼痛。

用法用量 内服:丸剂,配“舒筋丸”的原料之一。

【临床应用】:

方选和验方 舒筋丸(《中国药用真菌》)治腰腿疼痛,手足麻木,筋络不舒,四肢抽搐:绒白乳菇5kg,白酒550g,黄酒550g,花椒10g。

将绒白乳菇用二种酒浸拌以后,闷24小时,放蒸笼内蒸3小时,晒干,再加入花椒,研成细粉,炼蜜为丸,每丸重9g。日服2次,每次1~2丸,黄酒为引,白开水送服。

单方应用 《秦岭巴山天然药物志》:“治手足麻木,半身不遂:绒白乳菇9~12g,水煎服。或绒白乳菇研成粉末,黄酒冲服。

随便看

 

离鸟网收录3541549条中英文词条,其功能与新华字典、现代汉语词典、牛津高阶英汉词典等各类中英文词典类似,基本涵盖了全部常用中英文字词句的读音、释义及用法,是语言学习和写作的有利工具。

 

Copyright © 2004-2024 vtrois.com All Rights Reserved
更新时间:2026/4/8 2:04:26