网站首页  词典首页


请输入您要查询的字词:

 

字词 结构变动指数
类别 中英文字词句释义及详细解析
释义 结构变动指数

又称结构影响指数。

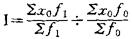
平均指标指数体系中在质量指标水平不变的条件下,测定数量指标结构变动的指数。计算公式为:

式中Σx0f0为基期的标志总量;Σf1、Σf0分别代表计算期和基期的单位总数;Σx0f1为按基期质量指标水平和计算期单位数计算的假定标志总量。

随便看

 

离鸟网收录3541549条中英文词条,其功能与新华字典、现代汉语词典、牛津高阶英汉词典等各类中英文词典类似,基本涵盖了全部常用中英文字词句的读音、释义及用法,是语言学习和写作的有利工具。

 

Copyright © 2004-2024 vtrois.com All Rights Reserved
更新时间:2026/5/27 20:37:28