网站首页  词典首页


请输入您要查询的字词:

 

字词 绛色霉素[中]
类别 中英文字词句释义及详细解析
释义 绛色霉素[中]

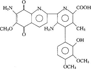
C25H22N4O8=506.47

CAS-3930-19-6

5-氨基-6-(7-氨基-5,8-二氢-6-甲氧-5,8-二氧代-2-喹啉基)-4-(2-羟-3,4-二甲氧苯基)-3-甲基吡啶甲酸。

5-Amino-6-(7-amino-5,8-dihydro-6-methoxy-5,8-dioxo-2-quinoyl)-4-(2-hydroxy-3,4-dimethoxyphenyl)-3-methylpicolinic acid.

抗肿瘤药。用于恶性淋巴瘤、急性淋巴细胞性白血病等。

链黑菌素,链黑霉素。

Streptonigrin,Bruneomycin,Rufocromomycin.

INN,BAN,DCF,NFN,USAN,MI.

随便看

 

离鸟网收录3541549条中英文词条,其功能与新华字典、现代汉语词典、牛津高阶英汉词典等各类中英文词典类似,基本涵盖了全部常用中英文字词句的读音、释义及用法,是语言学习和写作的有利工具。

 

Copyright © 2004-2024 vtrois.com All Rights Reserved
更新时间:2026/4/5 14:56:42