绝对值不等式的性质定理
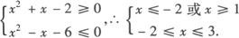
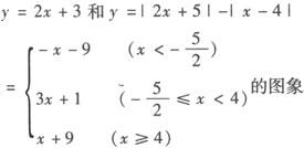
|a|—|b|≤|a±b|≤|a|+|b| 例1 解不等式|x2—4|≤x+2. 解 原不等式可化为等价不等式; —(x+2)≤x2—4≤x+2化为等价不等式组:  ∴原不等式的解为 {x|x=—2或1≤x≤3}. 例2 设m等于|a|、|b|和1中最大的一个,当|x|>m时,求证: . 分析 本题的关键是对题设条件的理解和运用,|a|,|b|和1这三个数中哪一个最大?如果两两比较大小,将十分复杂,但我们可以得到一个重要的信息,m≥|a|、m≥|b|、m≥1.  例3 解不等式|2x+5|—|x—4|<2x+3 解 在同一坐标系中作出函数  由|2x+5|—|x—4|=2x+3解得x=—4或x=2或x=6,即两函数交点的横坐标分别为—4,2,6.函数y=|2x+5|—|x—4|的图象位于直线y=2x+3下方部分上各点的横坐标集合,就是所求不等式的解集,即{x|—46}.  |