网站首页  词典首页


请输入您要查询的字词:

 

字词 绝对值换算成百分数
类别 中英文字词句释义及详细解析
释义 绝对值换算成百分数

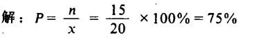
式中符号含义及单位同上

[例]20目/in的铜网,每英寸长度经线上有15个间隙,求纬线密度百分数。

随便看

 

离鸟网收录3541549条中英文词条,其功能与新华字典、现代汉语词典、牛津高阶英汉词典等各类中英文词典类似,基本涵盖了全部常用中英文字词句的读音、释义及用法,是语言学习和写作的有利工具。

 

Copyright © 2004-2024 vtrois.com All Rights Reserved
更新时间:2026/4/7 1:36:32