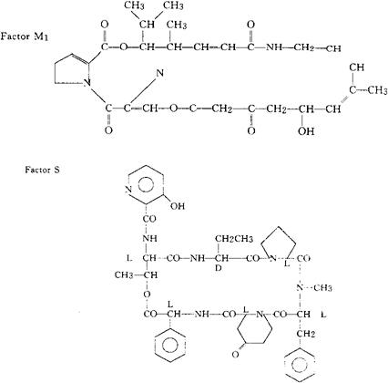
维吉霉素
CAS-11006-76-1 由 Streptomyces virginiae产生的抗生素,有两种主要的抗生素维及尼霉素M1(M1因子)和维及尼霉素 S1(S1因子)组成的混合物。 Antibiotic produced by Streptomyces virginiae;amixture of two principal antibiotic components,virginiamycin M1(Factor M1)and virginiamycin S1(Factor S). 抗生素类药。 维及尼霉素。 Virginiamycin,Antibiotic 899,Eskalin V,Staphylomycin,Virgimycin,Stafac,SK&F7988. INN,BAN,USAN.  |