网站首页  词典首页


请输入您要查询的字词:

 

字词 维拉必利
类别 中英文字词句释义及详细解析
释义 维拉必利

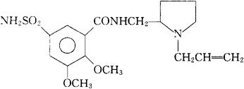
C17H25N3O5S==383.46

CAS-66644-81-3

N-[(1-烯丙基-2-吡咯烷基)甲基]-5-氨磺酰-2,3-二甲氧基苯甲酰胺。

N-[(1-Allyl-2-pyrrolidinyl)methyl]-5-sulfamoyl-overatramide.

多巴胺拮抗药。

Veraeipride,Agrial.

INN,DCF,DCIT,USAN,M1.

随便看

 

离鸟网收录3541549条中英文词条,其功能与新华字典、现代汉语词典、牛津高阶英汉词典等各类中英文词典类似,基本涵盖了全部常用中英文字词句的读音、释义及用法,是语言学习和写作的有利工具。

 

Copyright © 2004-2024 vtrois.com All Rights Reserved
更新时间:2026/4/9 0:15:46